Mandl József (szerk.)

Biokémia

Aminosavak, peptidek, szénhidrátok, lipidek, nukleotidok, nukleinsavak, vitaminok és koenzimek


1.1.3.1. Az aminosavak töltése, titrálása

Az aminosavak legfontosabb fizikai-kémiai sajátossága a töltésükkel kapcsolatos. Az aminocsoport általában primer ( a prolin esetében szekunder) amin. Ezért azt várnánk, hogy az ammóniánál erősebben bázikus, azonban az α-aminosavak esetében az azonos szénatomhoz kapcsolódó karboxilcsoport elektronszívó hatása csökkenti az elektronküldő szénlánc hatását és az α-aminocsoportok az ammóniával azonos báziserősséget mutatnak. Amint az 1.1. táblázat adatai mutatják, a legtöbb aminosav α-aminocsoportjának pKs-értéke 9-10 közé esik. A karboxilcsoportok viszont erősebb savak mint az azonos szénatomszámú karbonsavak. Ez azzal magyarázható, hogy az α-szénatomon elhelyezkedő aminocsoport elektronegatív nitrogénje szívja a karboxilcsoportról az elektronokat és a csökkenő elektronsűrűség miatt a proton könnyebben disszociál. A táblázat mutatja, hogy a legtöbb α-karboxil pKs-értéke 2-3 közé esik, vagyis a savi (aciditási) konstans 2 nagyságrenddel nagyobb az azonos lánchosszúságú karbonsavakénál.
 
1.1. táblázat. A fehérjealkotó aminosavak pKs-értékei és fajlagos optikai forgatóképessége
Aminosav neve
Rövidítések
Fajl. opt. forg.
pI
pKaCOOH
pKaNH2
pKR
Glicin
Gly, G
5
,97
2
,34
9
,60
L-alanin
Ala, A
+ 14
,6°
6
,00
2
,32
9
,69
L-valin
Val, V
+ 28
,3°
5
,96
2
,32
9
,62
L-leucin
Leu, L
+ 16
,0°
6
,02
2
,36
9
,60
L-izoleucin
Ile, I
+ 40
,9°
5
,98
2
,36
9
,68
L-szerin
Ser, S
+ 15
,1°
5
,68
2
,21
9
,15
L-treonin
Thr, T
– 15
,2°
6
,16
2
,71
9
,62
L-cisztein
CySH, C
+ 6
,5°
5
,02
1
,71
10
,78
8,27 (SH)
L-metionin
Met, M
+ 23
,2°
5
,74
2
,28
9
,21
L-aszparaginsav
Asp, D
+ 25
,4°
2
,77
1
,88
9
,60
3,65 (COOH)
in0L-aszparagin
Asn, N
+ 25
,4°
5
,41
2
,02
8
,80
L-glutaminsav
Glu, E
+ 31
,8°
3
,22
2
,19
9
,67
4,25 (COOH)
L-glutamin
Gln, Q
+ 31
,8°
5
,65
2
,17
9
,13
L-lizin
Lys, K
+ 26
,0°
9
,74
2
,18
8
,95
10,53 (N2H)
L-arginin
Arg, R
+ 27
,6°
10
,76
2
,17
9
,04
12,48 (Gua)
L-hisztidin
His, H
+ 11
,8°
7
,59
1
,82
9
,17
6,00 (Imid.)
L-prolin
Pro, P
– 60
,4°
6
,30
1
,99
10
,60
L-fenilalanin
Phe, F
– 4
,5°
5
,48
1
,83
9
,13
L-tirozin
Tyr, Y
– 10°
5
,66
2
,20
9
,11
10,07 (fenol)
L-triptofán
Trp, W
– 34
,1°
5
,89
2
,38
9
,39
A fajlagos optikai forgatóképesség az 1%-os oldat 1 dm küvettában 25oC-on mért forgatóképessége, + a jobbra, – a balra forgatást jelzi. pI = izoelektromos pH érték. A pKs-értékek indexei jelzik melyik funkciós csoport pKs-értékét mutatja az oszlop.
 
Az aminosavak többsége fiziológiás pH-érték mellett ikerionos szerkezetet képez. Ez azt jelenti, hogy a karboxilcsoport deprotonált, negatív töltésű, az aminocsoport pedig protonált, pozitív töltésű állapotban van, vagyis a nettó töltés 0. Azt a pH-értéket, amely mellett egy aminosav oldat egészére jellemző ez az állapot, izoelektromos pontnak hívjuk. Az aminosavak izoelektromos pontját pKs-értékeikből lehet kiszámolni. Monoamino-monokarbonsavaknál ez az amino- és karboxilcsoport pKs értékeinek számtani közepe. Amennyiben az aminosav oldalláncában savi illetve bázikus csoport van, akkor a szerkezeti formák töltésének vizsgálata dönti el, melyik két csoport pKs értékeinek számtani közepét kell venni. Pl. az L-aszparaginsav esetén az izoelektromos szerkezet úgy alakul ki, hogy az α-aminocsoport pozitív töltését az α-, illetve β-karboxilcsoport negatív töltése ellensúlyozza. Az aminocsoport számottevően csak bázikus pH-n deprotonálható, ezért pozitív töltésű marad. Mivel az α-karboxilcsoport pKs értéke a legalacsonyabb, a legtöbb molekulában ez deprotonálódik. Ezért a két karboxilcsoport pKs-értékének számtani közepénél érjük el azt a pH-értéket, ahol az összes karboxilcsoport fele deprotonálódott, vagyis negatív töltésű. Mivel az aminocsoportok még pozitív töltést hordoznak, a molekulák kifelé elektromosan semlegesek. A monoamino-dikarbonsavakban tehát az izoelektromos pont pH-ja a két karboxil pKs-ének számtani közepe. Hasonló meggondolás alapján juthatunk arra a következtetésre, hogy a diamino-monokarbonsavak esetében a két bázikus csoport pKs-értékének számtani közepe adja az izoelektromos pH-értéket.
Az aminosavak ikerionos formáinak, amelyek belső sónak tekinthetők, több fontos sajátossága van. Valamennyien oldódnak vízben, amit azonban az oldallánc poláros vagy hidrofób jellege, valamint a molekula mérete erősen befolyásol. Sószerű kristályaik az ionos vegyületekéhez hasonlóak, olvadáspontjuk magas. Amfoter jellegűek, mivel mind savakkal, mind bázisokkal képesek reagálni, sóképzés közben. Ezek a sók már nem ikerionosak, hanem vagy kationok (savval protonáltan) vagy anionok (bázissal deprotonálva). A monoamino-monokarbonsavak ikerionos képletét a glicin példáján az 1.3. ábra mutatja.
 
1.3.ábra. A glicin protonált, ikerionos és deprotonált formáinak egymásba alakulása
 
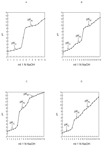
Az aminosavak elektrometriásan titrálhatók, hasonlóan a többértékű savakhoz. A monoamino-monokarbonsavaknak kettő, az oldalláncban ionizálható csoportot tartalmazó aminosavaknak három inflexiós pontjuk van a görbén, amelyek a pKs-értékeknek felelnek meg az ordináta pH-skáláján (1.4. ábra). Az ilyen titrálásokat az aminosav teljesen protonált állapotában célszerű kezdeni (pH=1.5 körül), majd 1 N NaOH adagolásával kb. pH=13-ig folytatni, ahol már a legbázikusabb arginin-guanidino csoport is deprotonálódik. A pKs-értékek) körüli pH (±1) érték-tartományban az aminosavak pufferként viselkednek. A közbeeső tartományban viszont már kevés lúg is gyors és jelentős pH-emelkedést okoz. Ezen tartományban (vagy azok egyikében) található az izoelektromos pont (ezt pI-vel is szoktuk jelölni). Az izoelektromos ponton az aminosav össztöltése nulla, mert a molekulán belüli pozitív és negatív töltések száma egyenlő. A glicin, aszparaginsav, arginin és hisztidin titrálási görbéit mutatja az 1.4. ábra, mivel ezek e jellegzetes képviselői a neutrális, savas, bázikus karakterű aminosavaknak, a hisztidin pedig azzal a fontos tulajdonsággal bír, hogy oldalláncának pKs-értéke a fiziológiás tartományban van, ezért a fehérjék hisztidin oldalláncainak fiziológiai szempontból is jelentős pufferhatása van.
 
1.4. ábra. A glicin (A), az aszparaginsav (B), az arginin (C) és a hisztidin (D) titrálási görbéje. pKC = az α-karboxilcsoport pKs-értéke, pKN = az α-aminocsoport pKs-értéke, pKR = az oldallánc pKs-értéke (oldalláncok: Asp: β-COOH; Arg: guanidin, His: imidazol) pI = izoelektromos pont pH

Biokémia

Tartalomjegyzék


Kiadó: Semmelweis Kiadó

Online megjelenés éve: 2026

ISBN: 978 963 331 712 9

Hivatkozás: https://mersz.hu/mandl-biokemia//

BibTeXEndNoteMendeleyZotero

Kivonat
fullscreenclose
printsave