Mandl József (szerk.)

Biokémia

Aminosavak, peptidek, szénhidrátok, lipidek, nukleotidok, nukleinsavak, vitaminok és koenzimek


2.6. A monoszacharidok kémiai tulajdonságai

A monoszacharidok reakcióképes vegyületek, ezért számos származékuk és átalakulási termékük ismert. Reakciókészségük a bennük levő funkciós csoportokra (mint például az oxo, a glikozidos hidroxil (azaz a rejtett oxo) és az alkoholos hidroxil csoportokra) vezethető vissza. Ezek a funkciós csoportok képesek lehetnek:
  • a redukcióra
  • az oxidációra,
  • az észterképzésre
  • az éterképzésre
  • az acetál (glikozidos) kötés kialakítására
  • az izomerizációra
 
Monoszacharidok redukciója
Aldózok és ketózok mind oxo, mind alkoholos hidroxilcsoportjukon egyaránt redukálhatók. Enyhe körülmények között a monoszacharidokból az oxocsoport redukcióval polialkoholokat (cukoralkoholokat) kaphatunk. Az cukoralkoholok a megfelelő mono-szacharid nevéből az -itol, vagy -it utótaggal származtathatók.
 
A szorbit diabetikus édesítőszer, a ribitol a flavin koenzim egyik komponense, a glicerin egyes lipidekben építőelemként szerepel.
 
Ha a monoszacharidokban egy láncközi OH csoportot redukálunk, akkor ennek eredményeképp egy szénatomon a OH csoport helyett H atom szerepel. Ilyen redukált cukor pl. a DNS felépítésében részt vevő 2-dezoxiribóz:
 
2.13. ábra. A D-glukóz, a D-szorbit (ol) a glicerol képlete
 
2.14. ábra. A 2-D-dezoxiribóz gyûrûs és nyilt láncú formái
 
Oxidatív reakciók
Az aldózok oxidációja oxidálószerek hatására következhet be. Az aldózok aldehidcsoportja és a láncvégi primér alkoholos hidroxilcsoportja egyaránt oxidálható. A ketózok primér alkoholos hidroxilcsoportja szintén oxidálható. A ketózok oxocsoportja – tekintettel arra, hogy az oxocsoport a láncközi, un. 2-es szénatomon van – nem oxidálható, ill. ennek oxidációja a molekula láncszakadását jelenti.
  • Az aldonsavak (ónsavak) enyhébb oxidálószerek hatására keletkezhetnek egy aldózokból. A glikozidos hidroxil (azaz aldehidcsoport) könnyen karboxil csoporttá oxidálódik ekkor az aldonsavak keletkeznek.
 
Erősen lúgos oldatban a monoszacharidok (egy nem ismert mechanizmusú, nem sztöchiometrikus reakcióban) az enyhe oxidálószerek, így az ezüsttükör próba Ag+-ionjai és a Fehling próba Cu++ ionjai hatására oxidálódhatnak ónsavvá, mikozben a fémiont redukálják.
Az aldózok oxidációjával az alábbi vegyületek keletkezhetnek:
 
2.15. ábra. Az aldózok oxidációjával keletkező vegyületek
 
Így a megjelenő redukált fémezüst, vagy a vörösesbarna Cu2O (Cu+ ionok) bizonyítják, hogy a kísérletben felhasznált monoszacharid szabad glikozidos hidroxil csoporttal rendelkezett, azaz redukáló cukor volt.
Enzim hatására D-glukopiranózból először ciklikus észter, az úgynevezett D-glukonsav-δ-lakton (aldonsav belső észtere) képződik, amiből spontán, egyensúlyi reakcióban a nyílt láncú D-glukonsav (aldonsav) és az öttagú gyűrűt tartalmazó D-glukonsav-γ-lakton keletkezik. A δ-lakton kevéssé stabilis, így a belső észter vizes közegben könnyen szabad aldonsavvá hidrolizál.
 
2.16. ábra. A glukóz ciklofélacetálos formájának oxidációjával keletkező laktonok.
 
2.17. ábra. A glukózból képezhető oxidált vegyületek.
 
A pentózok erős ásványi savakban (pl. sósav) főzve 3 molekula vizet adhatnak le furfurol képződése közben (hexózokból hidroximetil-furfurol keletkezik). Ez a reakció számos általános szénhidrát kimutatás és meghatározás alapja.
Az egyik legfontosabb ónsavszármazék (lakton) az aszkorbinsav, vagy más néven C-vitamin.
 
A C-vitamint a legtöb élőlény képes szintetizálni. A főemlősök, az ember és a tengerimalac a szükséges mennyiségű C vitamint a táplálékkal veszi fel. Szent-Györgyi Albert, egyetemünk volt professzora, magyar Nobel díjas tudós izolálta és állapította meg a szerkezetét.
A C-vitamin vízben jól oldódik, a felesleges C-vitamin a vizelettel kiürül, így C-vitamin hipervitaminozis nem léphet fel. A hipovitaminózis, a C-vitamin hiánybetegsége: a skorbut. Tartós C-vitamin hiánynál a kollagén károsodik elsősorban, következménye a vérzés, a fogak kihullása stb.
 
 
 
A C-vitamin nem stabilis vegyület, fiziológiás körülmények között reverzibilis folyamatban dehidroaszkorbinsavvá oxidálódik, majd ez diketogulonsavvá hidrolizálhat. Ennek megfelelően az aszkorbinsavat redukáló szerként is használják. Az aszkorbinsav a biológiai redox reakciókban is fontos szereppel bír.
 
  • Erős oxidálószerek (pl. salétromsav) hatására nemcsak az aldehidcsoport, hanem a primér alkoholos csoport is oxidálódhat karboxilcsoporttá. Ilyenkor cokorsavak (aldársavak) keletkeznek, amelyekben szintén van lehetőség a belső észterek kialakulására, a laktonképzésre.
  • Az uronsavak közvetlen oxidációval nem állíthatók elő a monoszacharidokból, de enzimreakciók hatására, biológiai rendszerekben keletkezhetnek. A primer alkoholos hidroxil oxidációjával keletkező uronsavak számos heteropoliszacharidban megtalálhatók és számos biológiai folyamatban, például a méregtelenítésben vesznek részt.
 
Az uronsavak piranóz, furanóz, vagy lineáris szerkezetet is felvehetnek és szintén képesek laktonképzésre.
 
2.20. ábra. A legjelentősebb uronsav származékok
 
A monoszacharidok éterei és észterei
A monoszacharidok polihidroxialdehidek, vagy ketonok, a bennük fellelhető hidroxil csoportok révén az alkoholokra jellemző reakciókat is adják. A savakkal az alkoholok acilezhetők – észterek keletkeznek. A β-D-glukóznak mind glikozidos, mind alkoholos hidroxiljai acileződnek1 (pl. ecetsavanhidrid hatására), a keletkező pentaészter a β-D-glukózpentaacetát.
A monoszacharidok foszforsavészterei minden élő sejtben megtalálhatók. Ezek a foszfátészter kötést tartalmazó vegyületek pl. a szénhidrát anyagcserében kulcsvegyületek.
 
2.21. ábra. A szénhidrátok anyagcseréjében szerepet játszó fontos foszfátészterek
 
A nukleotidokban a ribóz primer alkoholos hidroxilja a foszforsavval észterkötést képez. Például az uridindifoszfát-glukózban a glukóz és a ribóz a foszforsavakkal észterkötésekkel kapcsolódik, de a két foszforsav között már savanhidrid kötést találunk:
 
 
A glukóz alkoholos hidroxil funkciós csoportjai alkoholokkal éterezhetők, az így keletkezett pentametil származék a metil-α-D-glukopiranozid:
Természetesen itt az 1. szénatom glikozidos (félacetálos) hidroxilja alkohollal nem étert, hanem acetált (glikozidot) képez.
 
Az oxocsoport reakciói, a glikozidos kötés kialakulása
A ciklofélacetálos szerkezeti részhez tartozó hidroxil, a glikozidos hidroxil különleges sajátosságú. Mint általában a félacetálok a glikozidos hidroxilok alkoholokkal reagálhatnak, az így keletkezett acetálokat glikozidoknak nevezzük. A glikozid típusnév, az egyes monoszacharidokból levezethető glikozidokat a cukor nevéből képezzük (pl. glukóz → glikozid, fruktóz→fruktozid stb.) -id utótaggal.
Az β-D-glukóz a metanollal savkatalízissel metil-β-D-glukopiranozidot képez. A C(1)-es szénatom félacetálos hidroxil (jelen példánkban a β-glikozidos hidroxil) csoportja alkohollal acetállá kapcsolódik. Az ilyen acetálokat nevezzük glikozidoknak és a kapcsolat az anomeres szénatom és az alkoxicsoport között: a glikozidos kötés.
 
 
A glikozidok savas hidrolízisekor a monoszacharid mellett egy másik hidroxilcsoportot tartalmazó vegyület (alkohol, fenol, másik monoszacharid molekula) keletkezhet.
Természetesen egy monoszacharid glikozidos hidroxilja egy másik egyszerű cukor alkoholos hidroxiljával kapcsolódik, akkor a keletkezett diszacharid is glikozid, a két monoszacharid acetál kötésben kapcsolódik egymással. Ha a (glukóz és a fruktóz) két glikozidos hidroxilja alkotja a glikozidos kötést (1-2' kötés), akkor nem redukáló diszacharidot kapunk (pl. szaharóz), hiszen nincs szabad, oxidálható glikozidos hidroxilcsoport a molekulában, ami egy másik vegyületet redukálhatna egy redoxi reakcióban. Az 1-4' kötéssel kapcsolódó molekula redukáló diszacharid lehet (pl. a galaktózból és glukózból felépülő laktóz), hiszen az őt felépítő két monoszacharid közül az egyik megtartotta a szabad, redukálni képes glikozidos hidroxilját.
 
 
A nukleozidokban a ribóz a purin, vagy pirimidinbázis N atomjával, N-glikozidos kötésben kapcsolódik.
 
Laktonok, belső észterek
Az onsav, az uronsav és a cukorsav karboxil csoportja (AN reakcióban) a molekulában levő alkoholos csoportok egyikével belső észtert képez, azt nevezzük laktonnak. Az öt, vagy hattagú gyűrűk a legstabilisabbak, ennek megfelelően a laktonok öttagú, vagy hattagú gyűrűt alakíthatnak ki. Az öttagú, ún. γ2 laktongyűrűt a C vitamin és a glukuronsav képletén, a hattagú δ-laktont az a glukonsav képletén mutatjuk be. A glukuronsav γ-laktonban nemcsak a belső lakton (észter) gyűrű, hanem az aldehid a C(4) szénatom között kialakuló laktol (ciklofélacetálos) gyűrű is látható.
 
2.25. ábra. Néhány szénhidrát lakton-szerkezete
 
Aminocukrok és származékaik
Az aminocukrok olyan cukorszármazékok, amelyekben az egyik alkoholos hidroxil csoportot (rendszerint a C(2) szénatomon levőt) egy aminocsoport helyettesít. Az aminocukrok nem csak szabad aminocsoportot, hanem acilezett amino (N-acil) csoportot is tartalmazhatnak.
Legismertebb képviselőjük a D-glukózamin (2-amino-2-dezoxi-glukóz), ami a rovarok kitinpáncéljában, vagy az emberben egyes glikolipidekben, vércsoportanyagokban, heparinban, hialuronsavban, stb van.
 
2.26. ábra. A D-glukózamin (2-amino-2-dezoxi-D-glukóz) képlete
 
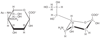
A neuraminsav mannózaminból és piroszőlősavból épül fel, N-acetil származéka a szialinsav (amelyeket a membránképző glikolipidek, glikoproteinek és vércsoportanyagok között találunk).
 
2.27. ábra. Az N-acetil-neuraminsav (sziálsav) képlete
1 Ezeket O-aciloknak nevezik, megkülönböztetésül az amino cukrok amino csoportjának acilezésekor keletkezõ N-acil származékoktól
2 a γ és a δ jelölés az észterkötésbe lépõ alkoholos hidroxilcsoport szénatomjára utal. A karboxil csoport melletti szénatom (a 2-es ) az α , a 3. szénatom a β, a negyedik a γ , az ötödik a δ szénatom. Így a karboxilcsoport szénatomjával együtt pl. a δ szénatomon történõ észteresítéssel egy hatos gyûrû alakul ki.

Biokémia

Tartalomjegyzék


Kiadó: Semmelweis Kiadó

Online megjelenés éve: 2026

ISBN: 978 963 331 712 9

Hivatkozás: https://mersz.hu/mandl-biokemia//

BibTeXEndNoteMendeleyZotero

Kivonat
fullscreenclose
printsave