Mandl József (szerk.)

Biokémia

Aminosavak, peptidek, szénhidrátok, lipidek, nukleotidok, nukleinsavak, vitaminok és koenzimek


2.7. Diszacharidok

A monoszacharidok kétféle típusú (a glikozidos és az alkoholos) hidroxil funkciós csoporttal rendelkeznek, amelyek más (monoszacharid) molekulákkal kapcsolódhatnak. A gyűrűs monosszacharid félacetál csoportja (azaz a glikozidos hidroxil) egy újabb hidroxilcsoporttal reagálva – acetált képez.
A legegyszerűbb összetett szénhidrátok, a diszacharidok. Ezekben a két monoszacharid egység e kapcsolódik egymással – glikoziddá (vagy másnéven acetállá). Ekkor az egyik monoszacharid glikozidos hidroxil csoportja reagál a másik szénhidrát valamelyik (glikozidos, vagy alkoholos) hidroxiljával, a reakció eredményeképp egy diszacharidot kapunk.
 
2.2. táblázat. A legfontosabb diszacharidok jellemző tulajdonságai
Név
Előfordulás, jelentőség
Felépítés
maltóz
a glikogén és a keményítő lebontásának közti terméke
α-D-glukozil-(1→4) glukozid
laktóz
tejcukor, terhesség alatt lehet a vizeletben is (valamennyi)
β-D-galalktozil- (1→4)glukozid
szacharóz
répacukor, a vagy nádcukor, gyümölcsök
α-D-glukozil-(1→2)-b-fruktozid
trehalóz
növényekban, gombákban és az élesztőkben fordul elő a rovar-nyirok fő cukorkomponense
α-D-glukozil-(1→1)-a-D glukozid
cellobióz
cellulóz építőeleme
β-D-glukozil-(1→4)-glukozid
 
A diszacharidok, oligoszacharidok nomenklaturája eléggé komplikáltnak tűnik első látásra. Meg kell adnunk a névben az oligoszacharidot felépítő monoszacharidok neveit, az egyes monoszacharid építőelemek gyűrű formáját, anomeriájukat, és kapcsolódásmódjukat.
Először azt kell eldöntenünk, hogy melyik az a monoszacharid egység, amelyik a glikozidos hidroxiljával vesz részt az acetálos kötésben, majd ennek az egységnek a pontos nevét kell meghatároznunk. Ezután egy zárójelben azt adjuk meg, hogy a glikozidos hidroxil melyik alkoholos, vagy glikozidos hidroxillal kapcsolódik, majd a másik kapcsolódó monoszacharid nevével zárjuk a molekula nevét. Például a szacharóz triviális neve helyett – a szabályos, racionális nevét: α-D-glukopiranozil-(1→2)-β-D-fruktopiranozid is használhatjuk, ami azt jelenti, hogy a α-D-glukóz C(1) szénatomján levő glikozidos hidroxil kapcsolódik az acetál kötésben, glikozidként a β-D- fruktóz C(2) szénatomjának glikozidos hidroxiljával.
 
2.28. ábra. A fontos diszacharidok gyûrûs formáinak képlete
 
Nem redukáló diszacharidok
A nem redukáló diszacharidok alatt azokat a diszacharidokat értjük, amelyeknél a két monoszacharid alagység egymással a két glikozidos hidroxil segítségével kapcsolódik, azaz az ilyen diszacharidokban nincs szabad glikozidos hidroxil csoport.
Erre a vegyületcsaládra példa a trehalóz, vagy a szacharóz. A trehalózban a diszacharid egy α-D-glukozil-(1→1)-α-glukozid.
Ezeknél a cukroknál a monoszacharidokra jellemző reakciók közül a glikozidos hidroxilhoz kötött reakciók, így a mutarotáció, a redukáló tulajdonság és a glikozidképzés nem lehetségesek, lévén, hogy a két glikozidos hidroxilcsoport egymással kapcsolódik, acetálként stabil kémiai kötésben van. A diszacharidokban ez a kötés nem képes spontán hidrolizálni, így a nem redukáló diszacharidok sem a Fehling, sem az ezüst tükör próbát nem adják.
 
Szacharóz (nádcukor, répacukor)
A szacharóz igen fontos diszacharid. Vízben jól oldódik. A fotoszintetizáló növények mindegyikében előfordul, legtöbb a cukorrépában és a cukornádban, ezekből állítják elő a „cukrot” az iparban ma is. Magasabb hőmérsékleten, kb 160°C-on megolvad, megpörkölődik, megbarnúl, karamell keletkezik.
Nem redukáló diszacharid, a molekula nem tartalmaz redukáló félacetálos (glikozidos hidroxil) csoportot. A szacharóz hidrolízisével ekvimoláris mennyiségű aldohexóz (D-glukóz) és ketohexóz (D-fruktóz) keletkezik. A szacharóz, mint nem redukáló cukor nem mutarotál. Természetesen a diszacharid molekula monoszacharidokra történő hidrolízise után a keletkező monoszacharidok már mutarotációt mutatnak.
 
A szacharóz hidrolízisét inverziónak nevezzük, ugyanis a keletkező hidrolizátumban az oldat forgatóképessége ellentétes irányú, mint a kiindulási szacharóz oldatban. A szacharóz oldat specifikus forgatóképessége +66°, a hidrolízis után az oldat forgatóképessége –20°. A hidrolízis után keletkező fruktóz és glukóz anomer keverékben a fruktóz specifikus forgatóképessége –92°, a glukózé (a mutarotációnál leírtak alapján) +52°, azaz a fruktóz miatt az oldat forgatóképessége erősen megváltozik. Az iparban a répacukorból hidrolízissel un invertcukrot gyártanak, ez a glukóz és fruktóz keveréke.
 
2.29. ábra. A szacharóz szerkezete (α-D-glukopiranozil-(1→2) α-D-fruktofuranozid)
 
Redukáló diszacharidok
Általánosságban kimondható :a redukáló diszacharidoknál a molekulában mindíg van szabad glikozidos hidroxil csoport.
A maltóz, a laktóz és a cellobióz redukáló diszacharidok. A maltózban α-D-glu kozil(1→4)-glukozid, a laktózban β-D-galaktozil-(1→4)-glukozid, a cellobiózban pedig β-D-glukozil(1→4)-glukozid kötés van, azaz mindhárom molekulában 1→4 kötések vannak. Csak az egyik glikozidos hidroxil kapcsolódik a másik monoszacharid egy alkoholos (C(4)) hidroxilcsoportjával, a másik monoszacharid egység glikozidos hidroxilja szabad és reakcióképes. Ennek megfelelően ezek a cukrok képesek a mutarotációra, a további glikozid képzésre és képesek oxidálódni, miközben egy másik molekulát, iont (pl. az Ag+-iont fém ezüstté) redukálnak.
 
Cellobióz
A cellulóz poliszacharid parciális hidrolízisével cellobióz nevű diszacharidot nyerhetünk. A cellobióz is két glukóz monoszacharid egységből áll. A maltóz és a cellobióz egymásnak sztereoizomérjei, a glikozidos rész konfigurációjában különböznek egymástól. A glikozidos rész a maltózban a-gluko-piranozil, míg a cellobiózban b-glukopiranozil konfigurációjú, (az aglikozidos rész mindkét molekulában azonos). A diszacharidok Haworth-Böeseken formuláiban az egyes monoszacharid részek ábrázolása nem egyszerű.
 
2.30. ábra. A cellobióz szerkezete (konformációs formával is)
 
Maltóz
Keményítő parciális hidrolízisével a maltóz keletkezik, amit tovább hasítva D-glukózhoz jutunk. A diszacharid két D-glukóz monomerből épül fel, az egyik glukóz az α glikozidos hidroxil csoportja a másik glukóz 4. szénatomjához kapcsolódó alkoholos csoporttal kapcsolódik acetállá. A keletkező O-glikozid a maltóz. Az aglikozidos glukóz egységnek nincs meghatározott anomer konfigurációja. A kristályos maltóz β-konfigurációjú. Ha a kristályos maltózt vízben feloldjuk, akkor a mutarotáció miatt mindkét aglikozidos (α és β) glukóz konformer megfigyelhető a diszacharid oldatában.
A maltóz redukáló cukor az aglikozidos glukóz szabad glikozidos hidroxil csoportja (a félacetál szerkezet) miatt. Természetesen a maltóz nemcsak oxidálódni képes, hanem redukálható is. A maltózban csak piranóz gyűrűk fordulhatnak elő. Kitűnő aromája miatt akár az élelemiszeriparban, akár a sörgyártásban kedvelt adalék.
 
2.31. ábra. A maltóz szerkezete (konformációs formával is)
 
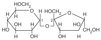
Laktóz (tejcukor)
Szemben az eddigi redukáló diszcharidokkal a laktóz nem csak a poliszacharidokból származtatható, hanem a természetben előforduló diszacharid molekula, a tejnek egy természetes komponense, melyet tejcukornak is neveznek. Az anyatej 7% tejcukrot tartalmaz, hetvenszer többet, mint a vérszérum glukóz tartalma (0,1%). A tejcukor a szacharózhoz képest kevéssé édes, de vízben szintén jól oldódik.
A laktóz hidrolízisével D-glukózhoz és D-galaktózhoz juthatunk. A D-galaktóz a glikozidos molekularészletben β-konfigurációjú, a glikozidos hidroxil csoport kapcsolódik a glukóz molekulájának C(4) szénatomján levő alkoholos hidroxil csoportjával. A kristályos laktóz aglikozidos glukóza α konfigurációjú, vízben feloldva mutarotál.
 
Az újszülöttek béltraktusában normális körülmények között egy β-D-galaktozidáz, vagy laktáz nevű enzim van, amely a tejcukor monoszacharidokra történő hidrolízisét végzi. Ha ez az enzim csökkentett mennyiségű, vagy hiányzik (enzimopátia), akkor a táplálékkal felvett tejet az ilyen csecsemő, illetve felnőtt a fent leírt módon nem képes lebontani. Ez a betegség főleg az ázsiai és afrikai embereknél gyakori (pl. Dániában 3%, Thaiföldön 97% a laktóz intoleráns emberek aránya), a betegek tápcsatornájából hiányzik a laktáz nevű enzim. Ilyen enzim hiányos betegeknél a béltraktusban nem a fiziológiás úton, hanem bakteriális fermentáció révén bomlik le a tejcukor, ennek során CO2, és irritáló szerves savak keletkeznek (hasmenés, rossz közérzet). Ennek az un. tej intoleranciának a felismerése igen fontos, hiszen ebben az esetben a következményeket diétával megelőzhetjük. A modern élelmiszeripar gyárt olyan tejtermékeket, amelyek tejcukor mentesek, így ezen termékek fogyasztása a betegek számára veszélytelen.
 
2.32. ábra. A laktóz szerkezete (konformációs formával is)

Biokémia

Tartalomjegyzék


Kiadó: Semmelweis Kiadó

Online megjelenés éve: 2026

ISBN: 978 963 331 712 9

Hivatkozás: https://mersz.hu/mandl-biokemia//

BibTeXEndNoteMendeleyZotero

Kivonat
fullscreenclose
printsave