Mandl József (szerk.)

Biokémia

Aminosavak, peptidek, szénhidrátok, lipidek, nukleotidok, nukleinsavak, vitaminok és koenzimek


2.9.1.1. Növényi eredetű poliszacharidok

Cellulóz
A cellulóz a Földünkön a legnagyobb mennyiségben megtalálható szénhidrát, a magasabbrendű növények sejtfalának fő alkotórésze. Kémiai behatásokkal szemben ellenálló, ezért viszonylag könnyen kivonható a növényekből. Általában kisérőanyagaival (főleg a ligninnel és az un. hemicellulóz féleségekkel) szennyezett (a pl. a fenyőfából kivont) a cellulóz. A legtisztább cellulóz a gyapot.
A cellulóz az általában használt oldószerekben oldhatatlan, sem vízben, sem híg ásványi savakban, sem lúgokban, sem szerves oldószerekben nem oldódik. A cellulóz különböző származékai általában jobban oldódnak, mint a tiszta cellulóz.
A cellulóz molekulatömegét, polimerizáltságát -oldhatatlansága miatt- nehéz vizsgálni. A kutatók szerint a gyapot cellulóz 3–12 ezer glukóz alegységból épül fel, molekulatömege ennek megfelelően kb. 500 000–2 millió dalton között lehet.
 
A cellulóz savas hidrolízisével, vagy a celluláz enzim1 hatására először a 3-7 glukóz egységból felépített oligomer homológjai, majd a cellobióz és végül D-glukóz keletkezik.
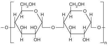
A cellulózban az egyes glukóz egységek egymással β-(1→4) típusú kötéssel kapcsolódnak. A molekulákban a glikozilrész kapcsolódásának módja igen fontos. Ebből ugyanis meghatározhatjuk azt, hogy az alábbi összefüggés ismeretében a polimer molekula fibrilláris vagy helikális szerkezetű-e. Ha a glukozidos hidroxil β térállású a glikozidban,, akkor általában egy fonalszerű polimer molekula-fibrilláris struktúra jön létre. Az α glikozidos kötésnél viszont a molekula helixet alkothat (mint a keményítőnél pl.), az ilyen vegyületeknél nem képzelhető el fibrilláris struktura.
(Figyeljük meg a következő részben, a polimer molekulák tárgyaláskor azt, hogy ezen szabály ténylegesen érvényesül az egyes poliszacharidoknál !)
 
2.34. ábra. A cellulózlánc egy részlete (β-1,4-kötések)
 
A cellulózban az egyes glukóz egységek egymáshoz képest 180 o-al elfordultak az ábrán, így egy meglehetősen stabilis szerkezet jött létre. A Tollens híd oxigénje és az alkoholos hidroxil csoportok között H-hidak alakulhatnak ki.
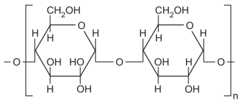
Az alábbi ábra jól szemlélteti a cellulózmolekula fonalas struktúráját. A nyújtott molekulákban a hidroxilcsoportok között fellépő hidrogénhíd kötések stabilizálják a glukóz egységek fibrilláris elrendeződését, a szálas szerkezet kialakulását. A H híd kötések az egyes polimer szálak között (intermolekulárisan) alakulnak ki.
Egy cellulóz szál körülbelül 40 paralell glukán szálat tartalmaz. A különböző láncokban levő β(1→4) kötésekkel összekapcsolt glukóz egységek között (a szaggatott vonallal ábrázolt intremolekuláris H-híd kötések alakulnak ki, amelyek stabilizálják a paralell lefutású cellulóz szálak, rostok szerkezetét:
 
2.35. ábra. A cellulóz H-hidakkal stabilizált szerkezete
 
A cellulóz ipari felhasználása számottevő. A papíriparban, a textiliparban, kötszerként vagy robbanószerként sok cellulózt, cellulózszármazékot használnak fel.
 
Keményítő
A keményítő a cellulóz mellett a növényvilágban legelterjedtebb poliszacharid. Igen nagy a biológiai jelentősége, mert a széndioxid asszimiláció során és helyén keletkezik a növényben, a feloldódott keményítő más növényrészekbe vándorol át (pl. gumó, gyökér, magvak), és itt tartalék tápanyagként lerakódik. Csökkent asszimiláció estén a növény a keményítőt tápanyagként értékesíti. Így konzerválódik egy rendszer energiája -kémiai energiaként- a keményítő molekulában, mely az emlősök számára is fontos energiahordozó, a tápanyagaink legfontosabb szénhidrátkomponense a keményítő. A táplálékkal felvett keményítő az emlősökben lebomlik. A keményítőből sokféle ipari jelentőségű anyag is készíthető.
 
A keményítőt nagy mennyiségben „termelik” a mezőgazdaságban, a burgonya kb. 20%, a gabona kb. 50%-a keményítő. A keményítő tartalmú növényekből a keményítőt az iparban kimossák és a polimer molekulákat kiülepítik. A tiszta száraz keményítő finom szémcséjű por. A keményítő kevés foszforsavat (észterként megkötve) tartalmaz. A keményítő a Lugol oldattal, azaz a jóddal kék színreakciót ad (ezért használtuk indikátorként a keményítőt a jodometriában).
 
A keményítő hideg vízben nem oldható, forró vízben először megduzzad, aztán kolloid oldatként feloldódik. A lehűlt viszkózus oldat a keményítőcsiríz (amit régen a háztartásokban ragasztószerként használtak). Aki szereti a kínai konyhát, az levesként keményítőszuszpenziót kanalazhat a levesestálkából – ugyanis a levesek nagyobb része azért „olyan sűrű, hogy szinte megáll benne a kanál”, mert keményítőt tartalmaz
A feloldott keményítő natív állapotban mikrószkóposan látható granulumokat képez, az oldat ezen kolloid részecskék nagysága miatt opaleszkál, az oldaton áthatoló fényt a nagy keményítő polimerek szórják (ld. fényszórás).
A keményítőszemcsék két különböző anyagból állnak:
  • az amilózból és az
  • amilopektinből.
 
Az amilóz és az amilopektin kémiai összetételében lényeges kémiai különbség nem mutatható ki, de ugyanakkor ezen polimerek némely fizikai tulajdonsága egymástól eltérő lehet (pl. oldékonyság). Mindkét polimer teljes hidrolízisével kizárólag D-glukóz keletkezik, azaz az amilóz és az amilopektin is kizárólag D-glukóz monomer egységekből áll. Részleges hidrolízissel a keményítőből kisebb molekulatömegű polimerek, az un. dextrinek2 keletkeznek. A keményítő sokkal könnyebben hidrolizálható, mint a cellulóz.
 
A keményítő amiláz enzimmekkel -végső soron- maltózzá hidrolizálható. Ebből a tényből a kutatók már kb. 1920 óta tudják azt, hogy a D-glukóz részek a keményítő mindkét poliszacharidjában (éppúgy mint a maltózban) α-(1→4) típus szerint kapcsolódnak, a glikozidos szénatomok a konfigurációjuak.
Megállapították azt is, hogy kétféle, más-más mechanizmussal működő keményítő bontó amiláz enzim van.
 
Az α-amiláz hatására a keményítő oldat viszkozitása (polimerizáltságra jellemző paraméter) gyorsan csökken, de a redukáló sajátságú cukor csak lassan jelenik meg a rendszerben. Ennek oka az, hogy az α-amiláz a keményítőt először általában 6 glukóz részből álló oligoszacharidra bontja le és csak eztán képződik ezekből (redukáló) maltóz.
A β-amiláz pedig a keményítő molekulák láncvégi nemredukáló glukóz egységénél kezdi a polimer hidrolízisét és ez az enzim rögtön maltóz egységeket hasít le a keményítőről (egyiket a másik után). Ha hasonlattal kívánnánk élni, azt mondhatnánk, hogy a β-amiláz a lineáris polimer molekulát maltóz egységekre szabdalja fel. Ennek megfelelően a β-amiláz hatására az oldat viszkozitása csak lassan csökken, de rögtön megjelenik a redukáló sajátosságú cukor (maltóz).
 
A keményítő két komponensének szerkezetvizsgálata megerősítette azt a feltételezést, hogy ezen polimerek szerkezeti különbözősége a polimer láncok struktúrájában rejlik.
 
Amilóz
Többszáz, egymással 1→4 helyzetben kapcsolódó D-glukóz molekulából áll, láncelágazást nem (vagy elenyésző ménnyiségben) tartalmaz. Az amilóz a-glikozidos kötésekkel összeillesztett glukóz részletei helixstruktúrát alkotnak. Az egyetlen ilyen csavarmenetet egyszerűsített vetületábrázolással szemléltetve hat glukózrész képez.
A keményítő helix struktúráját hidrogénhíd kötések stabilizálják, amelyek a glukózok primer alkoholos hidroxil csoportjai és a következő csavarmenethez tartozó glukóz egységek 2. és 3. számú szénatomján levő hidroxilcsoportok között alakulhatnak ki. Ilyen módon tehát a keményítőnél intramolekuláris hidrogénhidak, (míg ezzel szemben a cellulóz esetében a nyújtott láncok között intermolekuláris) hidrogénhidak stabilizálják a konformációt.
 
 
Az α-amiláz enzim a helix struktúrához kapcsolódik és az amilózról (közel) egy menetnyi, azaz hat -hét monomerből álló oligoszacharidot hasít le.
 
Az amilóz helix strukturájának igazolására (Schardinger 1903 és Freundenberg 1935) már felhasználták azt az észleletet, hogy a bacillus macerans enzimrendszerének hatására kristályos ciklodextrinek képződnek. Ezek a ciklodextrinek gyűrűsek, 6-7 gyűrűs D-glukóz molekulából felépítettek. A glukóz részek pont úgy, mint a keményítőben α-(1→4) kötéssel kapcsolódnak egymáshoz.
A ciklodextrinek gyűrűsszerkezete erősen hasonlít az amilóz helikális szerkezetére. Például a ciklodextrin jóddal (akárcsak a keményítő) elszineződik, a nem szorosan zárt helix belsejében bizonyos anyagok, zárványok, így pl. a víz tárolódhat. A helix belső csatornája 0,6-1,0 nm átmérőjű lehet, ahova a jódmolekula kényelmesen beférhet.
 
 
Amilopektin
Az amilopektin a keményítő másik komponense, több ezer D-glukózból épül fel. Ezek azonban nem kapcsolódnak hosszú lánccá, mint az amilóz esetében, hanem ágas-bogas, elágazó szerkezetet alkotnak. Az amilopektin poliglukóz láncában minden 24–30. glukóz egységnél láncelágazás található. Az amilopektin strukturáját úgy kell elképzelni, hogy a 25–30 tagú poliszacharid egységekben az α-D-glukóz egységek egymással α-(1→4) kötéssel kapcsolódnak, rövidebb láncdarabokat képezve. Sok ilyen rövidebb lánc egymással α-(1→6) kötéssel is kapcsolódik, létrehozva az amilopektin elágazó struktúrát.
 
Az amilopektin részleges hidrolízisével nemcsak maltóz, hanem izomaltóz (α-D-glukozil-(1→6) -D-glukóz) is keletkezik. Ez az oligoszacharid az amilopektin láncelágazását tartalmazó szerkezeti részéből képződik.
 
2.38. ábra. Az amilopektin, illetve glikogén egy részlete
 
Az amilopektin elágazó, szövevényes struktúrájú molekula. Az enzimes hidrolízis eredményeképpen azonban csak kb. a molekula 60%-a bomlik le maltózzá, hiszen a β-amiláz csak az α-(1→4) kötést tudja lebontani és így a hidrolízis a láncelágazódásnál az a-(1→6) kötéseknél leáll. A tovább nem emészthető, viszonylag kis molekulatömegű dextrin, az un. határdextrin keletkezik a β-amiláz hatására, az enzim az amilopektin α-(1→4) kötést tartalmazó láncait tudja „lenyirbálni” a az elágazásokat tartalmazó határdextrinről. A határdextrin enzimes hidrolízisére egy másik, α(1→6) hidroláz (vagy másnéven az α-(1→6) glikozidáz) aktivitással rendelkező enzim (a pullanáz) képes.
1 celluláz van a csírázó magvakban, a gombakivonatokban és a kérõdzõk emésztõrendszerében. Az emberben nincs celluláz enzim
2 Aki szereti a friss kenyeret, az tudja, hogy például a liszt keményítõjének részleges hidrolízisekor keletkezõ (barnás színû) kenyérhéj is ilyen dextrin.

Biokémia

Tartalomjegyzék


Kiadó: Semmelweis Kiadó

Online megjelenés éve: 2026

ISBN: 978 963 331 712 9

Hivatkozás: https://mersz.hu/mandl-biokemia//

BibTeXEndNoteMendeleyZotero

Kivonat
fullscreenclose
printsave