Mandl József (szerk.)

Biokémia

Aminosavak, peptidek, szénhidrátok, lipidek, nukleotidok, nukleinsavak, vitaminok és koenzimek


2.9.1.2. Állati eredetű poliszacharidok

Glikogén
A glikogén az állati szervezet szénhidrát raktára. a glikogén is glukóz molekulákból épül fel, amelyek α-(1→4) és α-(1→6) glikozidos kötéssel kapcsolódnak egymáshoz. Az állati szervezetben a glikogén a májban és az izmokban található meg a legnagyobb mennyiségben. A glikogén a sejtek citoszóljában, granulumok formájában van jelen, átmérőjük 10-40 nm között változik. Raktározása, mobilizálása hormonális szabályozás alatt áll.
 
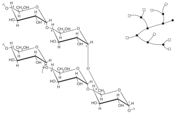
2.39. ábra. A glikogén egy részlete konformációs formában. Jobbra fenn: határdextrin sematikus képe
 
A glikogénből az élő szervezetben glukóz-1-foszfát, majd glukóz-6-foszfát keletkezhet. A glukóz-6-foszfát a májban a foszfatáz enzim hatására glukózzá alakulhat át, a fiziológiás vércukorszinthez szükséges glukóz – a tápanyagraktár glikogénjének terhére – így pótlódhat. A glikogén a glikolizis folyamán lebomlik (tejsavvá és/vagy széndioxiddá, vízzé), miközben a glikogénben felhalmozott energia a szervezet számára hozzáférhetővé válik (pl. ATP szintetizálódik).
 
A glikogént a májból nyerték ki először. Finom fehér szemcsés anyag, mely nemcsak mikroszkópos megjelenésében, hanem némely más tulajdonságában is hasonlít a keményítőre (kevés foszforsavat tartalmaz, vizben kolloidálisan oldódik, jóddal színreakciót ad, bár ez a színreakció nem kék, hanem vöröses színt ad). Vízben a glikogén jobban oldódik, mint a keményítő, szobahőmérsékleten 18%-os a telített glikogén oldat.
 
Az átlagos, tiszta glikogén több glukóz monomerből áll, mint a keményítő, azaz a glikogén molekulatömege is nagyobb. A glikogén igen eltérő polimerizáltságú lehet, heterogenitását a 250 ezer és 100 millió dalton között ingadozó a molekulatömege is mutatja. A glikogén elágazó poliszacharid, szerkezete a keményítő amilopektinjére hasonlít. A keményítőhöz képest a glikogén sokkal gyakrabban tartalmaz elagazásokat, a láncban (átlagosan) minden 8-12. glukóz molekula tartalmaz α-(1→6) kötéseket a polimerláncban az amúgy meghatározó α-(1→4) kötések mellett.
A sok elágazás és az extrém magas molekulatömeg a glikogén funkciója szempontjából igen lényeges tényező.
 
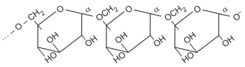
2.40. ábra. A glikogén szerkezetének sémája és egy glikogén láncrészlet kinagyítva
 
A máj 50–150mg, az izom 5–10 mg glikogént tárolhat (1 gramm nedves szerv szövetsúlyra viszonyítva). A két forrásból mintegy 350–450 gramm glukóznak megfelelő 6000–7000 kJ energia mozgósítható. Ennyi szénhidrát mint mono-, vagy oligoszacharid felborítaná a szervezet ozmotikus egyensúlyát, míg a hatalmas makromolekulák ezt nem teszik. A gyakori lácelágazásnak meg az az oka, vagy a haszna, hogy a glikogén molekulában sok láncvégi glukóz van, így ezek a hasító enzimek számára könnyen hozzáférhetők és hamar lehet belőle a szervezet számára szükséges glukózt nyerni.
A máj glikogén szintje sokkal drámaibban változik meg a külső hatásokra, mint az izom glikogénszintje. Például éhezéskor egy nap alatt a máj glikogénjének mennyisége 1 gramm májszövetben cca. 1-2 mg-ra csökken (a kezdeti 50–150mg/g máj értékről), míg az izom glikogén csak az eredeti szint felére csökken ugyanilyen körülmények között.
 
Dextránok
Ismeretesek olyan baktériumok (pl. a Bacillus macerans, Leuconost. mesenteroides), amelyek szacharóz oldatban tenyésztve nagy molekulatömegű, D-glukóz részeket tartalmazó poliszacharidokat építenek fel. Ezeket a vízben kitűnően oldódó poliszcaharidokat dextránoknak nevezik. Molekulatömegük a baktériumtörzstől és a fermentáció körülményeitől függően tág határok között változik (40 ezer–600 millió dalton).
 
Mivel a dextránoknak nincs antigén hatásuk és nem is toxikusak, a vizelettel kiürülnek ezért vérplazma pótlására használatosak, annál is inkább mivel a kb. 40–50 ezres átlagos molekulatömegű (ill. ennek megfelelő polimerizáltságú) dextrán 6%-os vizes oldatának közel akkora az ozmozis nyomása, mint a vérnek és ráadásul viszkozitása is azonos s vérplazmáéval. Így tehát ezek a dextrán oldatok izotóniásak és izoviszkozitásúak a vérrel.
 
A dextránt a gyógyszeripar ma fermentálással mesterségesen gyártja, majd részleges hidrolízissel állítja be a kívánt polimerizációs állapotot, azaz a molekulatömeget. A dextrán molekulák csak D-glukózból állnak, jellemző rájuk az α- glikozidos (1→6) típusú kötés.
A vérplazma pótlószerként használt dextránok a világon sokféle néven ismeretesek, hiszen nevük a gyártó cég fantáziájától függ (pl. Plasmodex, Dextraven, Intradex, Macrodex, Rheomacrodex stb.). Az orvosi gyakorlatban a keringő vérmennyiség pótlására (shock, exsiccosis), a koloidozmotikus nyomás fenntartására előszeretettel alkalmazzák. A vércsoportmeghatározást zavarhatja, ezért az infúzió bekötése elött a vércsoport-meghatározást el kell végezni, illetve az ehhez szükséges vért le kell venni.
Előszeretettel használják a dextrán kisebb molekulatömegű változatatát egyes méregtelenítési beavatkozásoknál is, hiszen a dextrán bizonyos toxinokat megköthet és így ezek gyorsan kiürülhetnek a szervezetből (kvázi így lehet „átmosni” a szervezetet egy mérgezésnél).
A dextrán molekulákat kromatográfiás feladatokhoz térhálósíthatják. Az így keletkezett dextránszármazék vízben nem oldódik, csak duzzad. A (pl. gyári márkajelzéssel Sephadex nevű) dextrán géleket oszlopkromatográfiával történő, molekulatömeg szerinti szűrési, így pl. fehérje tisztítási feladatoktra használják (ld. gélszűrés gyakorlat).

Biokémia

Tartalomjegyzék


Kiadó: Semmelweis Kiadó

Online megjelenés éve: 2026

ISBN: 978 963 331 712 9

Hivatkozás: https://mersz.hu/mandl-biokemia//

BibTeXEndNoteMendeleyZotero

Kivonat
fullscreenclose
printsave