Mandl József (szerk.)

Biokémia

Aminosavak, peptidek, szénhidrátok, lipidek, nukleotidok, nukleinsavak, vitaminok és koenzimek


2.9.2. Heteropoliszacharidok (heteroglikánok)

A heteroglikánok oligo-, vagy poliszacharidok, amelyeket két, vagy többféle monoszacharid egység épít fel. A heteroglikánok az egyszerű monoszacharidokon túl különböző monoszacharid származékokat (mint az aminocukrok, vagy az uronsavak) is tartalmazhatnak. Minden heteroglikán -majdnem kivétel nélkül- kovalens kötéssel kapcsolódhat más molekulákhoz, így fehérjékhez, esetleg lipidekhez.
 
A glikoproteinek általában export és membránfehérjék
A glikoproteinek olyan fehérjék, ahol a glikozidos szénhidrátrészhez kapcsolódik a fehérje molekula. A glikoproteinekben a szénhidrát komponens elég sokféle lehet: az egyszerű monoszacharidtól az oligoszacharidokon át a poliszacharidokig minden variáns előfordulhat, a funkciótól függően.
 
2.4. táblázat. Szénhidrát-fehérje komplexek osztályozása
Név
szénhidrát komponens
nem szénhidrát
komponens
szerep
Glikoprotein
2–20 különböző monoszacharidből álló oligoszacharid
különböző fehérjék
sokoldalú, elsősorban a fehérjétől függő
Proteoglikán
glukózaminoglikánok (ismétlődő diszacharid struktura, 103–106 dalton)
core fehérjék, egyszerű fehérjeváz
extracelluláris mátrix
Peptidoglikán
diszacharidok
(N-acetil-glukóz-amin és
N-acetil-muraminsav)
4-5 aminosavból álló peptidek
baktérium sejtfal
Glikolipid
oligoszacharidok
ceramid, diacilglicerin, poliprenol
sejtmembrán építőelem glikoprotein bioszintézis köztiterméke
 
A feltételezések szerint több szénhidrátot kovalens kötésben tartalmazó (glikoprotein) fehérje létezik, mint szénhidrát „mentes” fehérje. Szabályként elfogadhatjuk: az összes export és membránfehérje vagy glikoprotein, vagy ha nem is az, akkor a kérdéses fehérje – a bioszintézise során – egy glikoprotein átmeneti terméken keresztül képződött (azaz glikoprotein molekulából származtatható). Az emberi plazmából izolált kb. hatvan plazmafehérjéből csak az albumin és a prealbumin nem tartalmaz szénhidrátot (kötött formában).
 
A glikoproteinek sokfélék lehetnek, az alacsony szénhidráttartalomtól (pl. ribonukleáz) az extrém magas szénhidráttartalomig (vércsoportantigének, 85% cukor tartalommal) több példát sorolhatnánk fel. A glikoproteinek biológiai aktivitása elsősorban a fehérjerész által meghatározott.
 
Az állati szövetekben a glikoproteinek fő monoszacharid építőelemei: glukóz, galaktóz, mannóz, illetve az aminocukor származékok: N-acetilglukózamin és N-acetilgalaktózamin. A glikoprotein szénhidrát komponensének külső részén előfordulhatnak speciális heteropoliszacharid származékok is, mint a szialinsav, vagy az N-vagy O szubsztituált neuraminsav is. A neuraminsav egy hattagú laktolgyűrűt tartalmazó, kilenc szénatomos 2-keto-3-dezoxi-aldonsav 5-amino-származéka. A neuraminsav formailag a mannózamin piruvát addiciójával keletkezik, a piruvát ketocsoportjából egy félacetálos gyűrű keletkezik.
A neuraminsav csak acilezett származékai, észterei formájában létezik, ezeket sziálsavaknak nevezzük. A marhanyálmirigyből 1936-ban izolálták azt a sziálsavat, amiről később bebizonyították, hogy az egy neuraminsav származék (5-N-acetil-7-O-acetil-neuraminsav).
 
2.41. ábra. A neuraminsav (sziálsav) képlete (konformációs formában is)
 
A peptidlánc és a szénhidrátrész közötti kovalens kémiai kötés az alábbi módon alakulhat ki:
  • N-glikozidos kötés lehet, melyben a fehérje aszparaginil oldalláncán keresztül kapcsolódik a szénhidrát rész.
  • O-glikozidos kötés lehet, mely a peptidlánc szeril-, vagy ritkábban a treonilrész oldalláncában lévő alkoholos hidroxilcsoport és szénhidrát között jön létre.
  • vagy a kollagénben a fehérjelánc hidroxilizin oldalláncával alakul ki az O-glikozidos kötés.
 
A proteoglikánok az extracelluláris mátrix alkotóelemei
A proteoglikánok a glikoproteinekhez hasonlóan peptidláncból és az ehhez kovalensen kapcsolódó szénhidrátrészből állnak. Míg azonban a glikoproteinekben a szénhidrát rész ritkán volt nagyobb 18–20 monoszacharid egységnél, addig a proteoglikánokban a peptid lánc viszonylag egyszerűen felépített, de ehhez egy rendkívül hosszú, lineáris heteroglikánlánc kapcsolódik. A heteropoliszacharid lánc ráadásul nagyrészt monotonon ismétlődő diszacharid-részekből áll.
 
A diszacharid részlet egyik monoszacharid egysége ezekben a molekulákban mindíg egy hexózamint (glukózamin, galaktózamin), vagy acetilezett hexózamin származékot tartalmaz, az egyik monomer mindíg valamelyik aminocukor N-acetil, vagy N-szulfonsav származéka. A másik monoszacharid pedig rendszerint vagy egy glukuronsavat, vagy egy monoszacharid-szulfátésztert tartalmaz, ez a molekularészlet savanyú karakterű. A proteoglikán molekulákban azt a sajátos szénhidrát részt, ahol a fent leírt ismétlődő diszacharid egységek találhatók glikózaminoglikánoknak nevezték el. Az ismétlődő diszacharid egységek a hozzájuk tartozó peptidlánchoz O-glikozidos kötéssel kapcsolódnak, rendszerint a Ser-X-Gal-Gal szekvenciarészleten keresztül.
 
2.5. táblázat. A glikózaminoglikánokban előforduló diszacharid felépítő egységek
Diszacharid
Hexóz építőelemek
A szulfát helyzete
Kötéstípuslehetőségek
Előfordulás
hialuronsav
N-acetilglukózamin, glukuronsav
β(1→4) β(1→4)
izületi folyadék, üvegtest, köldökzsinór
kondroitin -4-szulfát (kondroitinszulfát A)
N-acetilgalaktózamin, glukuronsav
4
β(1→3) β(1→4)
aorta, porc
kondroitin-6-szulfát (kondroitinszulfát C)
N-acetilgalaktózamin, glukuronsav
6
β(1→3) β(1→4)
szívbillentyű
dermatánszulfát (kondroitinszulfát B)
N-acetilgalaktózamin, iduronsav, vagy glukuronsav
4
β(1→3) β(1→4)
bőr, szívbillentyű, véredény
heparin
Glukozamin, iduronsav, vagy glukuronsav
3,6,N
β(1→4) α(1→4)
tüdő, hízósejtek
heparánszulfát (heparitinszulfát)
glukózamin, vagy N-Ac-glukózamin, glukuronsav, vagy iduronsav
 
α(1→4) β(1→4)
véredény, sejtfelszín
keratánszulfát
N-acetilglukózamin, galaktóz
6
β(1→3) β(1→4)
kornea, porc, nucleus pulposus
 
A glikózaminoglikánokat régen mukopoliszacharidoknak hívták, ma már ez a név nem használatos. Az egyes, ezen vegyületekkel kapcsolatos betegségek vagy a glikózaminoglikánok hibás szintézisével, vagy lebontásával magyarázható.
 
Hialuronsav (β-glukuronát(1→3)-β-GlcNAc(1→4)
A hialuronsav hosszú, nem elágazó láncokat alkot, amit akár 25 000 diszacharidegység is létrehozhat, a molekulatömeg ennek megfelelően kb 106dalton, a molekula a többi glikozilaminoglikánnál biztosan nagyobb. A molekula nagyságán túl egyéb lényeges különbség: nem tartalmaz vázként szolgáló fehérjét és a molekula szulfát csoportokat sem tartalmaz. Nagy mennyiségben fordul elő a kötőszövetben, fő komponense az üvegtestnek és az izületi folyadékban is találunk hialuronsavat.
 
 
Kondroitinszulfát (β-D-glukuronát(1→3)-β-GalNAc-4-szulfát(1C4)
A kondroitinszulfátok „csak” 20-50kD molekulatömegű vegyületek. A kondroitin alapvetően abban különbözik a hialuronsavtól, hogy glukózamin helyett galaktózamint tartalmaz a molekula. A kondroitin poliszacharidok szulfátészterek formájában fordulnak elő.
Három csoportjuk különböztethető meg: a kondroitinszulfát A-ban a szulfátészter kötés a galaktózamin 4-es, a kondroitinszulfát C-ben a 6-os szénatomon alakul ki. Ma ezeket kondroitin 4-, illetve 6- szulfátnak nevezik. a kondroitinszulfát B-ben, melyet dermatánszulfátnak is nevezünk, L-iduronsav van a D-glukuronsav helyett.
A porcok egyik fő alkotórésze, de ezenkívül a kötő és támasztószövetben vázképző anyagként szerepel, a bőrben is jelentős mennyiség van belőle.
2.43. ábra. Kondroitin-4-szulfát diszacharid egysége
 
Dermatánszulfát (α-L-iduronát(1→3)-β-D-galNAc-4-szulfát(1→4)
A dermatánszulfát abban különbözik a kondroitinszulfátoktól, hogy 10–20%-át a glukuronsavnak L-iduronsav helyettesíti. Nagy mennyiség található a bőrben, a szívbillentyűben és a kötőszövetben.
 
2.44. ábra. Dermatánszulfát diszacharid egysége
 
Keratánszulfát (β-D-galaktózil (1→4)-β-N-acetil-D-glukózamin-6-szulfát (1→4)
Elsődlegesen a korneában, a kötőszövetben és a bordaporcban található a keratánszulfát. A molekula a többi glukozaminoglikántól abban különbözik, hogy nincs benne uronsav, kevésbé savanyú mint a kondroitinszulfátok. Az uronsav rész helyett galaktózt tartalmaz a molekula.
 
2.45. ábra. Keratánszulfát diszacharid egysége
 
Heparin, heparinszulfát
Igen fontos glukózaminonoglikán a heparin és a heparinszulfát. A többi testvér glikozaminoglikánnal ellentétben nem β, hanem α-glikozidos kötés található a molekulában. Az ismétlődő diszacharid egység D-glukuronsavból, valamint L-iduronsavból, esteleg N-acetil-D-glukózaminból (rövidítve: GluNAc) áll. A heparinnak relatíve alacsony a molekulatömega (5–30kD). A heparin savanyú karakterű vegyület, polianion. Marha, sertés tüdőből, bélből, májból állítják elő a heparint.
A keringésben a bazofil sejtek granuláiban, a hízósejtekben és sok egyéb sejtben (bél, máj, tüdő, aorta stb.) is megtalálható a heparin. Rendkívül hatásos, a gyakorlatban is használt véralvadásgátló anyag. A véralvadás VIII.-IX. faktorának aktivitását, a protrombinnak a trombinná történő átalakulását gátolja. A trombózis megelőzésében és kezelésében gyakran alkalmazott gyógyszer. A heparinnak ezenkívül szerepe van a zsír anyagcserében is. A heparin fehérjékhez kötődik a vérben.
 
 
Peptidoglikánok
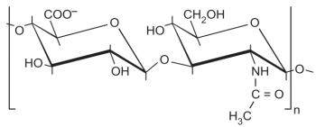
A baktérium sejtfal alkotóelemei közül a baktérium túléléséért (többek között) felelős peptidoglikán, a murein. A murein egy glikopeptid, vagy másnéven mukopeptid, kevés kivételtől eltekintve az összes prokariótában megtalálható. hatalmas makromolekula. A molekulát az N-acetilglukózamin és az N-acetilmuraminsav részletek építik fel. A muraminsav formailag egy N-acetil glukózamin-muraminsav diszacharid tejsavval alkotott étere, a laktátrészlet karboxilcsoportja egy rövidebb peptidszakasszal kapcsolódik. A poliszacharid láncok között keresztkötések vannak, ami az óriás molekulának egy hálószerű jelleget ad. A muraminsavláncot egyes enzimek, így a lizozim is hasítja. Lényeges, hogy egyes antibiotikumok, így a bacitracin és a penicillin -bakteriosztatikus hatásuk révén- a mureinbioszintézist gátolják és így fejtik ki hatásukat.
 
2.47. ábra. Baktérium sejtfal-poliszacharid diszacharid egysége
 
Glikolipidek
A glikolipidekben komplex módon felépített oligoszacharidok kapcsolódnak egyes lipidekkel. A glikolipidek főleg a membránok felépítésében játszanak szerepet, ahol rendkívüli specifikus funkciókkal bírnak ezek a molekulák. A glikolipidek részletes tárgyalására a 3. fejezetben kerül sor.

Biokémia

Tartalomjegyzék


Kiadó: Semmelweis Kiadó

Online megjelenés éve: 2026

ISBN: 978 963 331 712 9

Hivatkozás: https://mersz.hu/mandl-biokemia//

BibTeXEndNoteMendeleyZotero

Kivonat
fullscreenclose
printsave