Mandl József (szerk.)

Biokémia

Aminosavak, peptidek, szénhidrátok, lipidek, nukleotidok, nukleinsavak, vitaminok és koenzimek


3.9. Szterinek

Ezt a vegyületcsoportot az angol nyelvű irodalom szteroloknak hívja.
 
Koleszterin
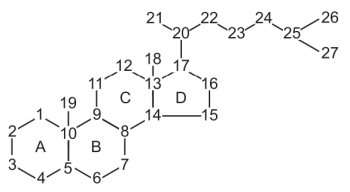
Állati szövetben előforduló legfontosabb képviselőjüket először epekövekből izolálták, innen ered a koleszterin elnevezés (görögül: kole = epe és stereos = szilárd). Ez az elnevezés Európában terjedt el, az angol nyelvterületeken a bennük lévő alkoholos csoportra utaló cholesterol elnevezés használatos. A szterinek a gombákban, növényi és állatvilágban elterjedten megtalálható erősen apoláros vegyületek, baktériumokban általában nem fordulnak elő. Szerkezetükre jellemző a szteránváz (ciklopentano-perhidrofenantrén) aminek 3. szénatomjához hidroxil-csoport, a 17. C-atomhoz pedig 8, 9 vagy 10 szénatomos elágazó alkillánc kapcsolódik. Jellemző, hogy az A és B valamint C és D gyűrűk közötti „sarkokban”, a 10. illetve a 13. C-atomhoz kapcsoltan egy-egy metilcsoportot találunk (ezek szénatomja alkotja a 18. és 19 számú C-atomokat).
 
3.19. ábra. Felül: a szkvalénnek, mint a koleszterin előanyagának, alul: a koleszterinnek szerkezeti képlete
 
Szterinek szerkezete és projektív ábrázolása
A szteránváz gyűrűrendszerében a ciklohexánok szék konformációjúak és a B és C valamint a C és D gyűrűk közötti kapcsolódás mindig transz konfigurációjú. A szterinek hidrogénaddicióval olyan származékokká alakíthatók melyekben az A ás B gyűrű is ciklohexán. Ezekben a származékokban az A és B gyűrű kapcsolódása vagy cisz vagy transz lehet. Előbbieket 5b (régebben normál), utóbbiakat 5α (régebben: allo) vegyületeknek nevezzük, annak alapján, hogy a 5. C-atomhoz kapcsolt hidrogén térbelileg a gyűrűrendszer síkja elé (β-térállás) vagy mögé (α-térállás) irányul. Fontos megfigyelni, hogy az α és β térállás egyértelmű meghatározásához a szteránvázat mindig úgy kell felrajzolni (vetíteni), hogy az öttagú gyűrű jobbra és fent helyezkedjen el. A 3-OH, a 17.alkil és a 10. és 13. metilcsoportok a szterinekben törvényszerűen β térállásúak (a képlet felrajzolásakor a β irányítottságú vegyértékeket kihúzott, az α-irányítottságúakat pedig szaggatott vagy pontozott vonallal ábrázoljuk).
A két anguláris metilcsoportot tartalmazó szteránváz számos, szervezetünk számára fontos vegyület szerkezetének állandó része. Ezek a vegyületek a szteroidok. A szterinek olyan szteroidok, melyek a 17 β alkillánc szénatomszámában eltérhetnek egymástól. Az állati szövetek jellemző szterinje a koleszterin vagy koleszterol 8 szénatomos izooktil oldalláncot tartalmaz (C27 szteroidok). A gombaeredetű szterinek 17 β alkillánca lehet 9 (ergoszterin), növényi szterineké pedig 10 C-atomos (sztigmaszterin), ezek tehát C28 illetve C29 szteroidok.
 
3.20. ábra. A kolesztán váz szénatomjainak számozása
 
3.21. ábra. Felül: az ergoszterin, a D2-vitamin, alul: a 7-dehidrokoleszterin, a D3-vitamin előanyagának szerkezeti képlete
 
A szterinek merevszerkezetű molekulák, kivéve a mobilis 17 β alkilláncot. Azonban a C17 és C20 szénatomok R konfigurációja valamint a stabilisabb nyújtott konformáció miatt ezek az alkilláncok a szteránváz térbeli „szalagjának” töretlen vonalú folytatását képezik. A szterinek szobahőn fehér szilárd anyagok, vízben nem, de apoláros szerves oldószerekben jól oldódnak.
 
Kolesztánváz
A koleszterinben található C27 váz a kolesztánváz. A koleszterin szisztematikai neve: 5,(6)-kolesztén-3β-ol. Egy kettős kötést tartalmaz, a váz 5., 6. szénatomjai között, a B gyűrűben. Hidrogénaddicióval a koleszterin két különböző termékké alakítható át: az 5β-kolesztán-3β-ol-lá (triviális neve: koprosztanol) és az 5α-kolesztán-3β-ol-lá (triviális neve: kolesztanol). Az 5α és 5β kolesztanolok az A és B gyűrű kapcsolódásában térnek el egymástól (ld. fent).
A koleszterin a sejtek plazmamembránjában fordul elő jelentős mennyiségben, itt a foszfolipid mennyiségének 50–100%-át is kiteheti. Sok koleszterin található a vörösvértest-membránban és a mielinhüvelyben. A koleszterin apoláros része a lipidkettősréteg szénhidrogén fázisába merül, a poláros alkoholcsoport pedig a membrán felszíne felé néz. Konrád Bloch, aki a koleszterinbioszintézis menetének tisztázásában nagy érdemeket szerzett úgy véli, hogy a koleszterin mint membránalkotórész optimális szerkezetű molekula, biológiai-biokémiai szerepét bármilyen kémiai módosítás előnytelenül befolyásolja.
 
A koleszterin szerkezete
A koleszterin a következő szerkezeti vonásokkal jellemezhető:
  1. A gyűrűrendszerekben a B/D és D/C gyűrűk között mindig transz kapcsolódás van, a gyűrűk mind szék konformációjúak. Ez a gyűrűrendszert szalagszerűvé teszi, vagyis a gyűrűrendszer mindkét felülete (a felső: β és az alsó: α) planáris.
  2. A 3-β-helyzetben ekvatorális vegyértékhez kapcsolódó hidroxil csoport a membrán-víz fázishatáron elhelyezkedve a koleszterin molekulát a lipidkettősréteg belseje felé irányítja.
  3. A 17R és 20R konfigurációk lehetővé teszik, hogy az izooktil oldallánc a szteránváz folytatását képezze. A 3-hidroxilcsoporttól az izooktil lánc végéig 15 C-atomból álló egyenes szénhidrogén „vonulat” figyelhető meg, ami megfelel a foszfolipidek apoláros „láb” része hosszának.
  4. A C18 és C19 metilcsoportok megtartottak és a molekuláról mint két „hídfő” a síkjára merőlegesen nyomulnak elő.
  5. A négy gyűrűből álló szteránváz tömör, merev és viszonylag terjedelmes tömegetképez, ami fiziológiás körülmények között nem mutat hajlandóságot konformációváltozásra.
    • Tömegénél fogva a koleszterin nemcsak a zsírsavláncokat, de a „fej” részeket is eltávolítja egymástól a membránban, ami a membrán felületi töltésének megváltozásához vezethet.
 
Szerkezeti tulajdonságainál fogva a koleszterin a membránfluiditást érdekesen befolyásolja: a fluid membránokat merevíti, a túl viszkózus membránok „befagyását” viszont gátolja. Több adat arra mutat, hogy általános membránhatásán túlmenően a koleszterin egyes membránenzimek működésére is hat.
 
Szérum lipoproteinek
A plazmamembránokon kívül koleszterint tartalmaznak a szérum lipoproteinek is. Ezek a lipoproteinek nem-kovalens kötéssel összekapcsolt lipidek és fehérjék (apolipoproteinek) változó arányú keverékének komplexei. Felépítésükben megkülönböztetünk egy „magi” részt, ami apoláros lipidek, konkréten trigliceridek és koleszterin észterek gömbalakban elrendezett elegye. Ekörül koleszterinből, apoproteinekből és foszfolipidekből kialakított „burok” helyezkedik el, olymódon, hogy poláros csoportjaik a lipoproteint körülvevő vizes fázis felé néznek. Ez a szerkezet vizes oldatban viszonylag stabil. A szérum lipoproteinek osztályozása sűrűségük alapján történhet, a különböző sűrűségű komplexekben a fehérje: lipid arány más és más. A fehérjetartalom növelése a sűrűséget is növeli, a nagyobb lipidarány pedig csökkenti. A koleszterin aránya legmagasabb az ún. LDL (alacsony denzitású) lipoproteinben. Mivel a koleszterin vízben gyakorlatilag oldhatatlan, a vérben valamennyi koleszterin (és egyéb lipid is) lipoprotein formájában kering.
 
Szérum koleszterinszint
A szérum koleszterinszintje szabályozott, normálisan 3,8–5,2 mmól/l (120–200 mg%), aminek mintegy kétharmada a koleszterinnek zsírsavakkal alkotott észtere. A koleszterin a sejtekben észter formájában trigliceriddel együtt raktározódik, olajcseppeket képezve a citoplazmában. A koleszterint valamilyen természetes zsírsav, általában palmitinsav észteresíti. A koleszterint elsősorban a máj szintetizálja, másrészt a táplálékkal kerül a szervezetbe.
 
Érelmeszesedés
Koleszterinben gazdag étrend esetén és bizonyos veleszületett rendellenességekben megnő a szérum koleszterintartalma és az erek falába lerakódó koleszterin érelváltozáshoz vezet. Ma már bizonyított, hogy tartósan magas szérum-koleszterin szint „érelmeszesedés” (atherosclerosis) kialakulásában fontos kockázati tényező, ezért a koleszterin-anyagcsere ellenőrzése és a koleszterin normális szérumszintjének fenntartása az orvos fontos, prevenciós jellegű feladata.
 
Koleszterin koncentrációjának meghatározása
A koleszterinkoncentráció meghatározása a vérszérumban fontos diagnosztikai próba, ami azon alapul, hogy tömény kénsav és ecetsavanhidrid keverékével végzett erőteljes vízelvonás eredményeképpen a koleszterinmolekulában a 3. C-atomnál kettős kötés alakul ki, s az így keletkezett, 2 konjugált helyzetű kettős kötést tartalmazó termék kékeszöld színű (Liebermann-Burchard reakció).
 
Növényi szterinek
Növényi és gombaeredetű szterinek (szitoszterin, sztigmaszterin, ergoszterin), annak ellenére, hogy szerkezetük a koleszterinétől alig és csak az oldalláncban különbözik, a bélcsatornából nem szívódnak fel, a bélhámsejtek luminális felszínén át csak a koleszterin szelektív felvétele lehetséges.
A koleszterin a már vázoltakon kívül azért is fontos vegyület, mert előanyaga az epesavaknak valamint a szteroid hormonoknak és a D3-vitaminnak.

Biokémia

Tartalomjegyzék


Kiadó: Semmelweis Kiadó

Online megjelenés éve: 2026

ISBN: 978 963 331 712 9

Hivatkozás: https://mersz.hu/mandl-biokemia//

BibTeXEndNoteMendeleyZotero

Kivonat
fullscreenclose
printsave