Mandl József (szerk.)

Biokémia

Aminosavak, peptidek, szénhidrátok, lipidek, nukleotidok, nukleinsavak, vitaminok és koenzimek


3.12.1. Kortikoszteroidok

A mellékvesekéreg (cortex adrenalis) hormonjai a 21 szénatomos pregnánváz származékai. A pregnánban a szteránvázhoz 10. és 13. helyzetben β-metil, a 17. szénatomhoz β-etil csoport kapcsolódik. A pregnán név arra utal, hogy a terhességi szteroid hormonok is pregnánvázas vegyületek (a latin praegnans jelentése: terhes, viselős, vemhes). A kortikoszteroidok közül a glukokortikoidok a szénhidrát-anyagcserére fejtenek ki hatást, a mineralokortikoidok viszont a szervezet só-víz háztartásának nélkülözhetetlen szabályozói.
Az emberi mellékvesekéreg tulajdonképpeni glukokortikoid hormonjának a kortizol (11 β, 17 α, 21-trihidroxi-4-pregnén-3, 20-dion) más néven hidrokortizon tekinthető, mivel a glukokortikoid hatású szteroidok közül ez képződik a legnagyobb mennyiségben.
 
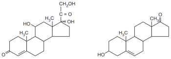
3.26. ábra . Bal oldalon: kortizol, jobb oldalon: dehidro-epiandroszteron (DEA) szerkezeti képlete
 
A legaktívabb mineralokortikoid az aldoszteron (11 β, 21 dihidroxi-3, 20-dioxo-4-pregnén-18-al) szerkezetileg nagyon hasonlít a kortizolra. Az aldoszteronban azonban a 17-es C-atomon nincs OH csoport, viszont a 18-as CH3 aldehiddé oxidálódott. Az aldoszteron részben 11,18-ciklofélacetálja formájában fordul elő, 50-100-szor hatékonyabb mineralokortikoid, mint a korábban felfedezett 11-dezoxikortikoszteron (DOC: 21-hidroxi-4-pregnén-3,20-dion). A DOC a bioszintézis során a kortikoszteron (11 β, 21-dihidroxi-4-pregnén-3,20-dion) előanyaga. A kortikoszteron maga is glukokortikoid hatású szteroid, belőle képződik a humán mellékvesekéregben az aldoszteron.
Megjegyezzük, hogy a glukokortikoidoknak van mineralokortikoid hatásuk is, a mineralokortikoidok pedig glukokortikoid aktivitással is rendelkeznek. A fenti csoportosítást mégis az teszi lehetővé és indokolttá, hogy az egyes kortikoidok a kétféle aktivitás mértékében, valamint szekretált mennyiségeikben jelentősen eltérnek egymástól, emellett a mellékvesekéreg különböző sejtjeiben szintetizálódnak.
 
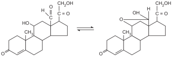
3.27. ábra. Bal oldalon: kortizol, jobb oldalon: dehidro-epiandroszteron (DEA) szerkezeti képlete
 
A kortikoidok bioszintézisében fontos köztitermék a pregnenolon (3β-hidroxi-5pregnén-20-on) és a progeszteron (4-pregnén-3,20-dion). Ezek a szteroidok nemcsak a kortikoidok, de az ivarhormonok szintézisének is közti termékei, sőt egyikük végtermék. A progeszteron maga ugyanis az egyik női nemi hormon, az ováriumban a sárgatest termeli, és ezenkívül a terhesség alatt nagy mennyiségben képződik a placentában (ezért terhességi hormonnak is hívják).
 
Glukokortikoidok biológiai hatásai
A glukokortikoidok hatékony bioregulátorok, néhány fontosabb hatásuk a következő:
  1. fokozzák a glukoneogenezis sebességét
  2. gyorsítják a fehérjék lebontását
  3. elősegítik a glukóz felhasználását különböző szervekben
  4. gyulladásgátló hatásúak, mert gátolják az eikozanoidok bioszintézisét
  5. egyes állatokban a szülés megindítására adnak jelet
  6. szabályozzák egyes szövetek és szervek növekedését és érését, így a tüdő érésében fontosak, megindítják a tüdő „surfactant” képződését.
 
3.28. ábra. Bal oldalon: progeszteron, jobb oldalon: pregnenolon szerkezeti képlete
 
A glukokortikoid és 11-oxo változata (kortizon) jelentős gyulladáscsökkentő hatással bírnak, ezeket sikerrel alkalmazzák különböző betegségek (sokizületi gyulladás, hörgő-asztma, allergiás bőrbetegségek stb.) gyógykezelésében. Kémiailag módosított, szintetikus származékaik (prednizolon, dexametazon, bétametazon, triamcinolon stb.) különösen hatékonyak és egyesek közülük perorális kezelésre is alkalmasak.
Egyes antialdoszteron aktivitású szteroidok (spironolaktonok) vizelethajtó gyógyszerként kerülnek alkalmazásra.

Biokémia

Tartalomjegyzék


Kiadó: Semmelweis Kiadó

Online megjelenés éve: 2026

ISBN: 978 963 331 712 9

Hivatkozás: https://mersz.hu/mandl-biokemia//

BibTeXEndNoteMendeleyZotero

Kivonat
fullscreenclose
printsave