Mandl József (szerk.)

Biokémia

Aminosavak, peptidek, szénhidrátok, lipidek, nukleotidok, nukleinsavak, vitaminok és koenzimek


3.12.3. A hím nemi hormon és az androgének

Hím nemi hormonok
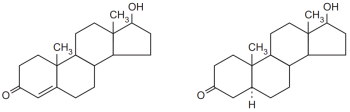
A hím nemi hormon a herék Leydig-sejtjeiben termelődő 19-szénatomos, androsztán-vázas szteroid, a tesztoszteron (17β-hidroxi-4-androsztén-3-on). A tesztoszteron szerkezetére jellemző hogy a szteránvázhoz 10. és 13. helyzetben egy-egy b-térállású metil csoport kapcsolódik, a 3. C-atomon oxo, a 17-es C-atomon pedig b térállású OH csoport van és a 4. C-atom kettőskötéssel kapcsolódik az 5-ikhez. Az androsztán a szterán 10β, 13β-dimetil származéka. A tesztoszteron a hím nemiszervek, a hímre jellemző testalkat és másodlagos nemi jelleg kialakulását irányítja. Ezenkívül kiváltja a hímre jellemző neuroendokrin rendszer differenciálódását és szabályozza annak működését. Ha az egyedfejlődés korai szakaszában elmarad az embrionális here tesztoszteronszekréciója, elmarad a tesztoszteron induktív hatása, akkor női nemi szervek fejlődnek ki.
 
3.30. ábra. Bal oldalon: tesztoszteron, jobb oldalon: 5α-dihidrotesztoszteron szerkezeti képlete
 
5α-dihidro-tesztoszteron
Az androgénszabályozás alatt álló szervek egy részében, így a járulékos hím nemi mirigyekben (prosztata, vesicula seminális) és egyes bőrképletekben (szőrtüsző, faggyúmirigy) kimutatható egy enzim (tesztoszteron 5 α-reduktáz), amely a tesztoszteronban lévő kettőskötés hidrogénaddicióját katalizálja. A reakció eredményeként 5α-dihidro-tesztoszteron képződik, ami a tesztoszteron aktív metabolitja.
Az 5α-dihidro-tesztoszteron receptor-fehérjéhez kötődve bejut a sejtmagba, ahol gyorsítja az RNS szintézist. A vázizomban nem mutatható ki a tesztoszteron számottevő metabolizmusa, a hím nemi hormon ismert izomtömeget növelő (miotróp) hatását tehát változatlan formában fejti ki. Elősegití ezt az is, hogy az exogén eredetű 5α-dihidrotesztoszteron a vázizomban gyorsan metabolikusan inaktiválódik. A központi idegrendszer egyes helyein és a zsírszövetekben a tesztoszteronból ösztradiol képződik mint aktív metabolit. Feltételezik, hogy az 5β-dihidro-tesztoszteronnak mint aktív metabolitnak a vérképzés szabályozásában van szerepe.
 
Mellékvese-eredetű androgének
Androgén hatású szteroidokat a mellékvesekéreg is termel, ezekből egyes szövetekben tesztoszteron képződhet. Mellékvese-eredetű a férfi és női vérplazmában közel azonos és viszonylag nagy koncentrációban található dehidro-epiandroszteron (3β-hidroxi-5-androsztén-17-on). Érdekes, hogy ez a szteroid nagyrészt szulfátésztere formájában fordul elő. Elképzelhető, hogy a dehidro-epiandroszteron (DEA) önálló hormon, de az biztos, hogy előanyaga az andoszténdion-nak, ami a tesztoszterontól csak abban különbözik, hogy a 17. szénatomon oxo csoportot tartalmaz, ezért redukcióval tesztoszteronná alakulhat.
 
A tesztoszteron anyagcseretermékei
A tesztoszteron anyagcseretermékei között találjuk az androszteront (3α-hidroxi-5α-androsztán-17-on), ami az epiandroszterontól abban különbözik, hogy 3α és nem 3β hidroxil-csoporttal rendelkezik (az epi előképző tehát az α-val szemben a β térállást jelöli).
Az androszteron 5α-androsztán-származék, a szervezetben képződhet belőle 5α-dihidro-tesztoszteron, ami mint mondottuk aktív androgénhatású szteroid. Az 5β-androsztán (etiokolán)-vázas anyagcseretermékek képződése viszont az androgénhatás végleges elvesztésével jár.
 
Anabolikus szteroidok, antiandrogének
A tesztoszteron általános fehérjeszintézist fokozó, testfelépítést elősegítő hatását anabolikus hatásnak hívjuk. Kémiai úton előállították a tesztoszteron olyan származékait, az ún. anabolikus szteroidokat, amelyek kifejezetten anabolikus, miotróp hatásúak, de a tesztoszteronnál kevésbé virilizálnak, azaz okoznak férfias jellegű szőrnövekedést, hangmélyűlést, aknékat, stb. Ezek a szteroidok az 5α-reduktáznak vagy nem szubsztrátjai vagy hatására kevésbé hatékony származékká alakulnak át, ezért miotróp hatásuk dominál az 5α-dihidro-tesztoszteron által közvetített androgén hatás felett. Antiandrogén hatású szteroidokat és analóg vegyületeket is kifejlesztettek. Ezek hasznosak nemkívánatos androgénhatások (például: prosztatadaganatok képződése vagy nők fokozott szőrzetnövekedése) gyógyszeres ellensúlyozására.

Biokémia

Tartalomjegyzék


Kiadó: Semmelweis Kiadó

Online megjelenés éve: 2026

ISBN: 978 963 331 712 9

Hivatkozás: https://mersz.hu/mandl-biokemia//

BibTeXEndNoteMendeleyZotero

Kivonat
fullscreenclose
printsave