Mandl József (szerk.)

Biokémia

Aminosavak, peptidek, szénhidrátok, lipidek, nukleotidok, nukleinsavak, vitaminok és koenzimek


3.13. Eikozanoidok

Az eikozanoidok a szervezetben a foszfolipidekből különböző biológiai stimulusok hatására felszabaduló arachidonsavból szintetizálódnak. Három, orvosi szempontból fontos csoportjukat különböztetjük meg: a leukotriéneket, a prosztanoidokat és a tromboxánokat. A prosztanoidokat nevezik prosztaglandinoknak is.
 
Leukotriének
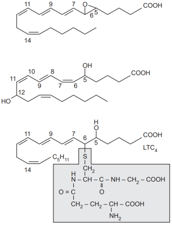
A leukotriének gyűrűt nem tartalmazó, nyíltszénláncú arahidonsav-származékok. Többféle vegyületről van szó, amelyeket röviden a következőképpen jelölünk: LTA4, LTB4, LTC4, LTD4 és LTE4. Ezekben a rövidítésekben L jelöli a leuko szót, utalva arra, hogy a fehérvérsejtek (leukociták) képesek termelni ezeket a vegyületeket. T a trién kifejezésre utal, ami hangsúlyozza, hogy ezek a vegyületek három konjugált kettőskötést tartalmaznak. A betűcsoportok végén alsó indexben írt 4-es szám azt jelzi, hogy mindegyik leukotriénben összesen négy kettőskötés található (a negyedik izolált kettőskötés cisz alkatú). Az LTB4 hidroxilszármazék, míg az LTC4 a módosult arachidonsav 6. C-atomjához tioéter kötéssel kapcsolódó glutation tripeptidet tartalmaz. Az LTC4, LTD4 és LTE4 leukotriének a gyulladásos és allergiás reakciók (pl.a hörgi asztma) kialakulásának fontos mediátorai. Az LTB4 kemotaktikus (a leukociták vándorlását irányító) hatású vegyület.
 
Prosztaglandinok
A prosztanoidok (prosztaglandinok) a prosztánsav nevű vegyületből származtathatók. A prosztánsav a prosztanoidok alapvázát képezi, maga a prosztánsav nem fordul elő az élő szervezetekben.
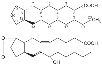
A prosztánsav ciklopentángyűrűt tartalmaz és a két oldallánc (heptánsav és oktán) ehhez a gyűrűhöz egymáshoz viszonyítva transz helyzetben kapcsolódik (a szerkezeti képletben a szaggatott vonal arra utal, hogy amikor a prosztánsavat úgy rajzoljuk fel, hogy a heptánsavoldallánc jobbra és felül helyezkedik el, a 7. és 8. szénatomok közti vegyérték a gyűrű síkja mögé irányul).
 
3.31. ábra. Felül: leukotrién A4 (LTA4), középen: leukotrién B4 (LTB4), alul: leukotrién C4 (LTC4) szerkezeti képlete. Bekeretezve: glutation, az LTC4 molekula része
 
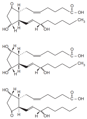
Élettanilag fontos prosztaglandinok: a prosztaglandin E2 (PGE2), prosztaglandin F2a (PGF2a) és prosztaciklin (PGI2). A betűjelölésekben a PG a prosztaglandin szó rövidítése. Maga a prosztaglandin elnevezés arra utal, hogy az ondóban talált viszonylag nagymennyiségű prosztaglandin E2 fő forrásának a prosztatát vélték. Ma már tudjuk, hogy elsősorban az ondóhólyagból (vesicula seminális) származik az ondó PGE2-je. A PG után lévő betű a ciklopentángyűrűben jelenlévő szubszituensek jellegétől (oxo vagy hidroxil-csoport) és helyzetétől függ. Az E sorozatbeli (éteroldékony) prosztaglandinok apolárosak, a gyűrűben a 9. szénatomon oxo csoportot tartalmaznak. A PGE megfelelő párja, amiben a 9. szénatom hidroxilcsoportot hordoz, polárosabb, foszfátpufferekben is jobban oldódik, ezért az F sorozatba sorolták. Az alsó indexben megjelenő szám az oldalláncokban összesen meglevő kettőskötések számát adja meg. A görög betű (pl. PGF2a) azt jelöli, hogy a 9. szénatomhoz kapcsolódó hidroxilcsoport a gyűrű síkja mögé irányul, azaz ugyanarra az oldalra mint a heptánsav oldallánc. A PGI2 prosztaciklin elnevezése utal a ciklopentángyűrűvel kondenzált másik gyűrűre, ami enoléterkötés kialakulásával jön létre.
 
Prosztaglandinok hatásai, antagonistái
A prosztaglandinok lényeges mediátoranyagok a gyulladás folyamatában és a simaizmok (artériák, uterusz, bronchus) összehúzódásának és ellazulásának szabályozásában. Olyan lokális hormonoknak (autakoidoknak) tekintik őket, melyek kémiai szignálokat jelentenek a sejtek közötti kommunikációban. Intracellulárisan hatva módosíthatnak egyes hormonhatásokat. PGE2 a gyomor-béltraktusban a hámsejtekre citoprotektiv hatással van. PGI2 hatékonyan gátolja a trombociták aggregációját, ami a véralvadás egyik bevezető lépése.
 
3.32. ábra. Felül: prosztánsav, alul: prosztaglandin H2 szerkezeti képlete. A prosztánsav képletén a prosztaglandin alapváz szénatomjainak számozását is bemutatjuk
 
3.33. ábra. Felül: prosztaglandin E2, középen: prosztaglandin F2a,, alul: prosztaglandin D2 szerkezeti képlete
 
3.34. ábra. Prosztaciklin (PGI2) szerkezeti képlete
 
A prosztaglandinok képződését gátolják a glukokortikoidok (szteroid gyulladásgátlók), mert gátolják a szintézisükben meghatározó jelentőségű ciklooxigenáz enzim expresszióját és akadályozzák a prosztaglandin-előanyagnak, az arachidonsavnak a felszabadulását foszfolipidekből. Aszpirin, indometacin és egyéb ún. nem szteroid gyulladásgátló gyógyszerek (NSAID = non steroid antiinflammatory drugs) gátolják a prosztaglandinok szintézisét, mert a ciklooxigenáz enzimek (I. és II.) inhibitorai.
 
Tromboxán
Tromboxán A2 (TxA2) az arachidonsavmetabolizmus fő terméke trombocitákban. A tromboxánok abban különböznek a prosztanoidoktól, hogy azok ciklopentángyűrűje helyett oxán és oxetán gyűrűk kombinációját tartalmazzák. Úgy látszik, hogy a természetben a tromboxánok közül csak a TxA2 és ennek spontán és gyors hidrolízisével képződő TxB2 fordulnak elő. A tromboxán B2 stabilis, de biológiailag inaktív vegyület, kémiai szerkezetét tekintve ciklusos félacetál.
A TxA2 erőteljesen fokozza a trombociták aggregációját és a kisartériák összehúzódását.
 
3.35. ábra. Tromboxán A2 és B2 szerkezeti képlete

Biokémia

Tartalomjegyzék


Kiadó: Semmelweis Kiadó

Online megjelenés éve: 2026

ISBN: 978 963 331 712 9

Hivatkozás: https://mersz.hu/mandl-biokemia//

BibTeXEndNoteMendeleyZotero

Kivonat
fullscreenclose
printsave