Mandl József (szerk.)

Biokémia

Aminosavak, peptidek, szénhidrátok, lipidek, nukleotidok, nukleinsavak, vitaminok és koenzimek


4.1.1. A purin- és pirimidin bázisok

A purinváz egy pirimidin- és egy imidazolgyűrű kondenzációjával jön létre. Mindkét gyűrűnek kifejezett aromás jellege van, így a purin is aromás vegyület. A sejtekben a szabad nukleotid bázisok csak nyomokban fordulnak elő, az eukariota sejtek nem is tudják hasznosítani az extracelluláris szabad pirimidin bázisokat. A pirimidingyűrű planáris szerkezetű molekula, a puringyűrű is csak kissé tér el a planáris szerkezettől. A bázisoknak a planáris szerkezete, a hidrogénkötést kialakító képessége a biológiai funkció szempontjából rendkívül fontos. A nukleinsavakban előforduló pirimidinszármazékok az Uracil, Timin és a Citozin; a purinszármazékok az Adenin és a Guanin (4.2. ábra). A bázisok nevét általában nagybetűvel írják és a név első betűjével rövidítik. A DNS-ben a hidrogénkötések kialakításában a purin gyűrű 1-es N, és a pirimidingyűrű 3-as helyén lévő -NH-csoportok játszanak szerepet. A funkcionális csoportok közül pedig az Adenin, Guanin és Citozin aminocsoportjai és az erősen elektronegatív oxigénatomok vesznek részt a hidrogénkötésekben.
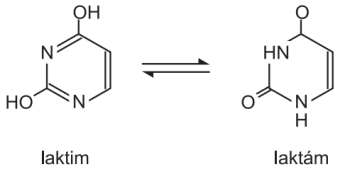
A pirimidin- és purinbázisok vízben nagyon rosszul oldódnak, enyhén bázikus molekulák. A környezet pH-jától függően két tautomér formában is előfordulhatnak. Neutrális pH-nál a bázisok laktám formája a stabilabb, külső hatásokra azonban a laktim forma is kialakulhat a nukleinsavban, ami a molekula információ tartalmát változtathatja meg, és a mutációk egyik oka lehet. A 4.4. ábrán látható az uracil tautomerizációja.
 
 
A fent említett négy bázison kívül kis mennyiségben un. minor vagy ritka bázisok is előfordulnak a nukleinsavakban. Ilyen ritka bázisok a 5-metil-citozin, 5-hidroxi-metil citozin, 6-N-metiladenin, 2-N-metil-guanin, pseudo-uridin stb. A ritka bázisok elsősorban a tRNS-ben fordulnak elő, azok bázistartalmának kb. 10%-át teszik ki. Eddig mintegy ötven különféle ritka bázist mutattak ki, a legegyszerűbb ritka bázisok láthatók a 4.5. ábrán. A ritka bázisok a nukleinsav másodlagos módosításával jönnek létre és fontos szerepük van egyes szakaszok információtartalmának megváltoztatásában.
 
A metilált bázisok a DNS-ben fordulnak elő, funkcionális jelek bizonyos fehérjék számára, amelyek a DNS-szintézis indításához vagy rekombinációjához szükségesek. A metilcsoportok a kész DNS-re kerülnek, az S-adenozil-metionin (SAM) és Dam-metiláz enzim (adenint metilál), illetve Dem-metiláz (citozin oldalláncot metilál) közvetítésével.
 
 
A bázisok jellegzetes fényelnyelést mutatnak 250-280 nm hullámhosszúságú tartományban. Ezt a tulajdonságot fel lehet használni a bázisok, nukleozidok és nukleotidok, sőt a nukleinsavak mennyiségi mérésére és a nukleinsavak szerkezetváltozásának követésére.

Biokémia

Tartalomjegyzék


Kiadó: Semmelweis Kiadó

Online megjelenés éve: 2026

ISBN: 978 963 331 712 9

Hivatkozás: https://mersz.hu/mandl-biokemia//

BibTeXEndNoteMendeleyZotero

Kivonat
fullscreenclose
printsave