Mandl József (szerk.)

Biokémia

Aminosavak, peptidek, szénhidrátok, lipidek, nukleotidok, nukleinsavak, vitaminok és koenzimek


4.2. A polinukleotid lánc elsődleges és másodlagos szerkezete

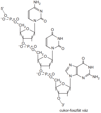
A nukleinsavakat nukleotid monofoszfát egységek építik fel, polinukleotid láncot alkotva. A polinukleotid lánc gerincét ribóz-foszfát vagy dezoxiribóz-foszfát egységek ismétlődése képezi. A pentóz gyűrűnek az 5’-hidroxil csoportja foszfát-észter kötéssel kapcsolódik a szomszédos ribóz gyűrű 3’-hidroxil csoportjához. Így a foszfodiészter-ribóz gerincet a molekulában 5’-3’ diészter kötések tartják össze. A nitrogént tartalmazó bázisok kilógnak a foszfodiészter-ribóz gerincből (4.16. ábra).
 
4.16. ábra. A polinukleotid lánc cukor-foszfát váza és a bázisok
 
A polinukleotid láncnak az utolsó nukleotidja a lánc egyik végén szabad 5’ foszfát-csoporttal, a másik végén szabad 3’-hidroxil csoporttal végződik. A polinukleotid lánc bázisszekvenciáját 5’-> 3’ irányban írjuk fel megállapodás szerint, azaz az 5’ véget a bal oldalra, a 3’ véget a jobb oldalra írjuk. A nukleinsav molekulának az elején szabad 5’-P, a végén pedig szabad 3’-OH csoport van, ezt nevezzük a molekula polaritásának. A polinukleotid lánc felépítésének az elve azonos a DNS és az RNS molekula esetében.
A rövidebb láncokat oligo-nukleotidoknak nevezzük, rövidítésük különféleképpen történhet. Egyik lehetőséget mutatja a 4.17. ábra.
 
 
Az ábrán látható betűk (A, C, G) a bázisokat jelentik, a függőleges vonal ribózt vagy a dezoxiribózt, a P pedig a foszfodiészter kötést, a trinukleotid rövidítése pApCpG vagy ACG. A megállapodás szerint az ACG szimbólum azt jelenti, hogy a dezoxiadenozinnak szabad 5’-foszfát vége van, a dezoxiguanozinnak pedig 3’-OH vége.
Ha a DNS- vagy RNS-láncot építőelemeire bontjuk nukleozid-monofoszfátokat kapunk. A foszfodiészter kötések hasítása a lánc bármelyik végén elkezdődhet. A körülmények határozzák meg azt, hogy a keletkezett nukleotidok a foszfát-csoportot a ribóz 5’ vagy a 3’ végen tartalmazzák. Tehát a nukleinsavbontás végtermékei nukleozid-3’-monofoszfátok vagy nukleozid-5’-monofoszfátok lehetnek. A nukleozid-monofoszfátoknak nukleozid 5’ -trifoszfáttá kell alakulni a sejtben, hogy a polinukleotid lánc, az RNS vagy DNS szintézisének clőanyagai, prekurzorai legyenek. A nukleinsavakat szintetizáló enzimek, a DNS- vagy RNS-polimerázok csak nukleozid 5’ -trifoszfátokat tudnak prekurzorként felhasználni a nukleinsav szintéziséhez. A polinukleotid lánc szintézise úgy történik, hogy egy nukleozid trifoszfátból pirofoszfát lehasadása után (ez szolgáltatja az energiát) a nukleozid-5’-monofoszfát egység kapcsolódik egy indító rövid oligo-nukleotid lánc 3’-OH végéhez. A nukleotid monofoszfát egységeket összekötő fosztodiészter kötéseket a nukleázok tudják elhasítani egy vízmolekula felhaszálásával. A nukleázok vagy a lánc végén (exonukleázok) vagy közti diészterkötéseket hasítanak (endonukleázok). A bázishoz viszonyítva a hasítás lehet proximális (p-exonukleáz), amely 5’-P-végekct vagy disztális (d-exonukleáz), ami 3’-P-végeket eredményez. Például a kígyóméreg foszfo-diészteráz 5’-P-dNMP-t, míg a lép hasonló enzime 3’-P-dNMP-kre bontja a DNS-t. Az egyszerű nukleázok nem specifikusak a bázisokra, bármely láncvégi vagy láncközi kötést hasítanak a polinukleotid láncban. Léteznek azonban baktériumokban rövid nukkotidszekvenciára specifikus nukleázok, amelyeket restrikciós endonuklcázoknak nevezünk, nélkülük a génmanipulációt, a DNS-rekombinációs technikát nem lehetett volna megvalósítani. Példákat az Orvosi biokémia könyvben találnak.

Biokémia

Tartalomjegyzék


Kiadó: Semmelweis Kiadó

Online megjelenés éve: 2026

ISBN: 978 963 331 712 9

Hivatkozás: https://mersz.hu/mandl-biokemia//

BibTeXEndNoteMendeleyZotero

Kivonat
fullscreenclose
printsave