Mandl József (szerk.)

Biokémia

Aminosavak, peptidek, szénhidrátok, lipidek, nukleotidok, nukleinsavak, vitaminok és koenzimek


4.6.2. Az mRNS

A fehérjeszintézisben a mintát szolgáltatja a polipcptidlánc kialakulásához. A legheterogénebb RNS-csoport a molekula nagysága és életideje tekintetében, van azonban néhány jellemző tulajdonság, amelyik minden rnRNS-ben megtalálható, ezek a következők:
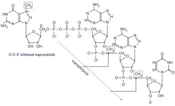
Az 5’-vége a mRNS-eknek minden esetben 7-metil-guanozin trifoszfát. A metil-GTP foszfát végéhez kapcsolódik a szomszédos 2-0-metil-ribonukleozid az 5’-OH csoportján keresztül. Ezt a kémiai szerkezetet nevezik sapkának, „mRNS-cap”-nek, szerepe a molekula 5‘-végének védelme, valamint a fehérjeszintetizáló rendszer a molekulának ezt a végét ismeri fel (4.32. ábra).
 
4.32. ábra. A mRNS 5’ vége több helyen metilálódik: „sapka”
 
A mRNS másik vége, a 3’-hidroxil vég 20–250 nukleotid tagból álló homopolimer, poli-adenilsavból áll, amit poli(A)-faroknak neveznek. A transzkripció befejezése után egy külön enzim a poliadenilát-szintetáz készíti el a molekulának ezt a részét, feltehetően stabilizálja a mRNS-t. A poli(A)-farok nagyon fontos lehetőséget jelent a mRNS-ek tisztításában, mivel bázispárt képezve kötődik oligo(T)-cellulózhoz. Ezt az affinitás-kromatográfiai módszert széles körben alkalmazzák a mRNS-ek tisztítására a molekuláris genetikában.
Az emlős sejtmagból izolálható RNS-molekulák rendkívül heterogén molekulatömeggel rendelkeznek, prekurzorai a funkcionális RNS-eknek, amelyek a citoplazmából izolálhatók. Ezt az RNS-csoportot heterogén nukleáris RNS-nek, hnRNS) nevezik, átlagos molekulatömege 107 kDa felett van, míg a mRNS-ek átlagos molekulatömege 106 körül van. A folyamatot, amely az első transzkripciós termékből funkcióképes RNS-molekulát készít, RNS-processzálásnak nevezik. Ez a folyamat nem csak a mRNS, hanem a tRNS és rRNS kialakulására is jellemző, és különösen intenzív az eukariota sejtekben. Az RNS-processzálás több enzimatikus folyamat összehangolt működése, mint a nukleolitikus hasítás és összekapcsolás (ligálás); a sapkakészítés, „capping”; a terminálás; végül pedig egyes nukleotidok módosítása, metilálása stb. Az emlős sejtekben az átiródolt RNS-nek 50-70%-a még a sejtmagban lebomlik, nem jut RNS formájában a citoplazmába.
A DNS primer szerkezetének megismerése nyomán kiderült, hogy a genetikai információ nem folyamatos a DNS-láncon. Az aminosav-szekvenciát kódoló szakaszokat (exonok) olyan szekvenciák szakítják meg, amelyek nem jelennek meg a fehérjében (intronok). A transzkripció elsődleges terméke tartalmazza a genom teljes másolatát, az intronok az RNS-ből vágódnak ki, és az exonokat a splicing megfelelő sorrendbe összerakja. A bonyolult folyamatokban biztosan szerepet játszanak az snRNS-ek, amelyekről korábban szóltunk. Két mechanizmust sikerült eddig megismerni az intronok eltávolítására. Az egyikben az úgynevezett U1 snRNS-ek (uracilban gazdag snRNS) egy meghatározott szekvenciája komplementer az exon-intron határon elhelyezkedő szekvenciákkal. Ehhez a komplementer szakaszhoz kapcsolódva a két exon egymáshoz közel kerül, az intron egy hurkot képez, és ilyen formában kivágódik, majd a két exon összekapcsolódik. Az Ul snRNS szerepe tehát az, hogy megkeresve az exon-intron határon lévő komplementer (consensus) szekvenciákat, az intront kihurkolja. A folyamatban az Ul snRNS-en kívül fehérjék is részt vesznek ribonukleoprotein komplexeket alkotva, melyeket ,.spliceosomá”-nak hívnak, (ld. Orvosi Biokémia könyv)
A másik intronkivágási mechanizmus nem igényel fehérjét, az RNS maga „enzimként” működik (Ribozim). Mindezek a folyamatok az RNS-processzálásához tartoznak és a magban zajlanak.

Biokémia

Tartalomjegyzék


Kiadó: Semmelweis Kiadó

Online megjelenés éve: 2026

ISBN: 978 963 331 712 9

Hivatkozás: https://mersz.hu/mandl-biokemia//

BibTeXEndNoteMendeleyZotero

Kivonat
fullscreenclose
printsave