Kun Róbert (szerk.)

Energiatárolási és akkumulátoripari alapismeretek

Fejezetek a villamosenergia-rendszerek, az elektrokémiai és további energiatárolási technológiák témaköréből


2.3. Használt akkumulátorok vizsgálata – UL 1974 szabvány szerinti folyamatok

Az akkumulátorok életciklusában megjelent az akkumulátorok másodszori felhasználása, ami a már használt, az eredeti alkalmazásukban, például elektromos járművekben vagy tárolórendszerekben felhasznált akkumulátorok alkalmazását jelenti, melyek továbbra is felhasználhatók másodlagos alkalmazásokban. Ezek az akkumulátorok további élettartammal rendelkeznek a felhasználás előtt. A másodlagos felhasználás előtti vizsgálatok segítenek garantálni, hogy a használt akkumulátorokat biztonságosan és hatékonyan lehessen újrahasznosítani másodlagos alkalmazásokban, és, a hulladék csökkentése, valamint az energiaforrások hatékonyabb felhasználása révén hozzájárulnak a fenntarthatósági célok eléréséhez. Az akkumulátorok másodlagos felhasználásáról már említést tesz az Európai Unió az elemekről, illetve akkumulátorokról és a hulladékelemekről szóló (2023/1542) rendelete is.
Egy akkumulátorvizsgáló laboratóriumba beérkező új akkumulátorcsomag esetén a korábbiakból is látható, hogy nagyon szerteágazó vizsgálatok végezhetők el. Magyar szabvány hiányában ez azzal a veszéllyel fenyeget, hogy minden ilyen intézmény csak a saját maga által fontosnak tartott vizsgálatokat végzi el, így változatos műszaki állapotú újrafelhasználható akkumulátorok kerülhetnének a piacra. Megoldást jelenthet erre az amerikai UL1974-es szabvány alkalmazása, esetleges honosítása.
A szabvány kitér a szükséges diagnosztikai mérések módjára, típusára, az egymás utáni sorrendjére és még az akkumulátorok tárolására is, amelyeknek fontos a rendszeres karbantartása és kalibrációja is. Az adott vizsgálatot végző egységnek rendelkeznie kell az általuk vizsgált akkumulátortípus tervrajzaival és ismerniük kell a belső felépítését. Ez sokszor nem publikus adat, ún. ipari titok, ezért ilyen esetben „feltáró” vizsgálatra van szükség, amelyben megismerjük a kontaktusok, elektródok és szigetelőberendezések helyét, illetve a beépített védelmi rendszereket.
A szabvány természetesen kitér a BMS-re is, hiszen az akkumulátor előéletének megismeréséhez szükség van az ebben tárolt adatok kinyerésére. A beérkező cellák vizsgálatát minden esetben alapos külső átvizsgálással kell kezdeni, külsérelmi nyomok, beázás, tűz vagy deformáció (például felpuffadás) nyomai után kutatva. Az ilyen cellák nagy valószínűséggel nem használhatók fel újra.
A szabvány szerint célszerű a beérkező akkumulátorokat a lehető legkisebb egyégekre bontani, amennyiben ez lehetséges, akár cellákra is. Ezt követően a diagnosztika az alábbi 7 mérésből kell, hogy álljon:
1. Üresjárati feszültségmérés (Open circuit voltage, OCV): a cellafeszültség megállapítása, amely utal a cella töltöttségi szintjére (SoC), illetve esetleges hibájára.
2. A szigetelés nagy feszültségű ellenőrzése: az akkumulátorok ellenőrzése a szigetelés épségének megállapítása érdekében. A mérést 500 V DC feszültséggel kell elvégezni az akkumulátor meghatározott részei között.
3. Kapacitásmérés: a cella teljes feltöltését és egy 1–4 órás pihentetést követően a cella konstans áramú vagy teljesítményű kisütése, amíg a cellafeszültség egy bizonyos szint alá nem csökken. Ebből kiszámítható a cella kapacitása.
4. Belső ellenállás meghatározása: a kapacitásmérést követően kell elvégezni. A teljes feltöltést követően a cellát 0,5–4 óra közötti időre pihenni hagyjuk. Ezután állandó áramerősséggel (I1) merítjük annyi ideig (T1), amíg 80–90%-os SOC szintre nem merül, miközben mérjük a cella terhelés alatti feszültségét (V1). Ezt követően az előzőnél ötször nagyobb áramerősséggel merítjük a cellát (I2 = 5×I1) egy rövidebb (T2) ideig, (általában 1–10 másodperc közötti időtartam) szintén mérve a cellafeszültség értékét (V2). Ezt követően a cella ellenállása kiszámítható a következő képletből:
 
 
5. A BMS funkcióinak ellenőrzése: a BMS irányító és védő áramkörei működőképességének ellenőrzése. Mindenképpen szükséges az újrafelhasználás előtt.
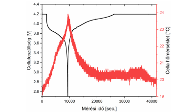
6. Teljes töltés-kisütési vizsgálat: a mérés során mérnünk kell a cella hőmérsékletét, a cellafeszültséget és az átfolyó áramerősséget. A méréseket szobahőmérsékleten, illetve a gyártó által megadott minimumhőmérsékleten (±2 °C) kell elvégezni (9.6. ábra).
 
9.6. ábra. Egy LEV40 cella teljes töltés-kisütés vizsgálata a cellafeszültség és a cella hőmérsékletének feltüntetésével
 
7. Önkisülés-vizsgálat: a cella nyitott áramköri feszültségének változása hosszabb tárolást követően, rendszerint a teljes feltöltést követő 5 perc, 1 óra, 1 nap és 1 hét elteltével (9.7. ábra) [14].
 
9.7. ábra. LEV40-es cella nyitott áramköri feszültségmérése a szabványban meghatározott időközönként
 

Energiatárolási és akkumulátoripari alapismeretek

Tartalomjegyzék


Kiadó: Akadémiai Kiadó

Online megjelenés éve: 2025

ISBN: 978 963 664 126 9

A kötet átfogó, horizontális tematikával vezeti be az olvasót az akkumulátor értéklánc teljes spektrumába: bemutatja a villamosenergia-piac működését, a telepített energiatárolási megoldásokat, az akkumulátorok járműipari alkalmazása terén az alternatív hajtásláncok felépítését és kulcskomponenseit, valamint részletesen tárgyalja a Li-ion akkumulátorok felépítését, működését, gyártástechnológiáját és a legfrissebb fejlesztési irányokat. Áttekintést nyújt továbbá az akkumulátorok biztonságtechnikájáról, diagnosztikai eljárásairól és az újrahasznosítás legfontosabb szempontjairól. Az olvasó átfogó képet kaphat az elektrokémiai energiatárolás technológiai hátteréről, a mobilitási és telepített tárolási megoldások térnyeréséről, az akkumulátoripar hazai és globális fejlődési irányairól, valamint az ezekhez kapcsolódó lehetőségekről, kihívásokról és szabályozási kérdésekről. A kötet az akkumulátorgyártás alaplépéseitől a jármű- és energiarendszer-integrációig, a töltőinfrastruktúrától a biztonságtechnikai, gazdasági és jogi aspektusokig számos kapcsolódó területet is tárgyal. Hasznos olvasmány lehet gépész-, villamos- és vegyipari mérnökök, mechatronikai és gazdasági szakemberek, autóipari és energiaipari szereplők, valamint a közszféra és az oktatás területén dolgozók számára – de mindazoknak is, akik naprakész, rendszerszintű tudást keresnek az energiatárolás és az elektromobilitás dinamikusan fejlődő világában. A kötet elkészítését a Magyar Akkumulátor Szövetség támogatta.

Hivatkozás: https://mersz.hu/kun-energiatarolasi-es-akkumulatoripari-alapismeretek//

BibTeXEndNoteMendeleyZotero

Kivonat
fullscreenclose
printsave