Kun Róbert (szerk.)

Energiatárolási és akkumulátoripari alapismeretek

Fejezetek a villamosenergia-rendszerek, az elektrokémiai és további energiatárolási technológiák témaköréből


2.2. A működő Li-ion-akkumulátorok fő anyagi alkotói

Az első kiemelkedő jelentőségűvé vált LIB-típus a LiCoO2 összetételű (LCO) katódanyagot alkalmazta [2], ami jelenleg is alapvető szerep tölt be a hordozható elektronikai eszközök fő áramforrásaként. Azonban a drága kobaltot más átmenetifémekkel is igyekeznek részben helyettesíteni. Így jött létre a Li(NixMnyCoz)O2 (x + y + z = 1), azaz NMCxyz típusú, illetve a Co/Mn arányban különböző NCMxyz, valamint a hasonló Li(Ni0,8Co0,15Al0,05)O2 (NCA) katódanyag. Az NMC jelenti az autóipar számára a legjobb perspektívát, hiszen az LCO-nál olcsóbb katódösszetétel és biztonságosabb működés mellett kínál jó teljesítményt, míg az NCA típus jelenleg még kevésbé biztonságos és az élettartama is korlátozottabb [3], [4], [5], [6]. Az autóipari akkumulátoroknál a stabil teljesítményt adó és megbízható NMC622 mellett az NMC811 típus is egyre jellemzőbbé válik, sőt törekednek a Ni-tartalom további növelésére is. Külön esetet jelent a LiFePO4 típusú (LFP) – kisebb energiájú és feszültségű – katódanyag, ami a tartóssága mellett az olcsósága és veszélytelensége miatt kedvelt. Ezt a perspektívát különösen a kínai gyártók erősítik. Az utóbbi katódanyaghoz Mn összetevőt is adva a tulajdonságai javulnak, miközben csökken a LiMn2O4 (LMO) spinell jellegű katódvegyület jelentősége. A LIB-technológiában élenjáró koreai autóipar szinte teljes mértéken az NMC típusú katódokra koncentrál, noha Kína – a saját anyagok felhasználását erősítve – várhatóan az LFP-katódok irányában fogja növeli a termelést, miközben fejleszti ennek az alapvető típusnak a működési tulajdonságait is. Bármely jelenleg működő és fejlesztett típus esetében is az anód a lítiumionok interkalációs megkötésére képes tiszta és réteges szerkezetű grafit. Az anód fajlagos teljesítményének növelése céljából szilícium fokozott adagolásával történnek fejlesztések, ami azonban a visszajáratási technológiák szempontjából még hosszabb távon sem jelent változást. Mindkét elektród aktív anyagát kis mennyiségű (3–4%) szerves kötőanyag tartja össze és rögzíti egy vékony (< 50 μm) rétegben a (kb. 15–20 μm vastag) Al, illetve Cu kollektorfóliák felületén. Vannak törekvések – nagyobb töltéssűrűséget is lehetővé tevő – újszerű anódanyagok (pl. lítium-titán-oxid vagy szilícium) kifejlesztésére is, de a reakciók folyamán fellépő fizikai instabilitás még továbbra is a karbonalapú anódanyagot teszi szinte egyeduralkodóvá, legfeljebb szilícium adalékolásával.
Az anód feltöltéssel kialakított LixC6 „interkalált” szerkezete a kisütéskor x elektronnak a külső áramkörön keresztül hasznosítható leadásával x Li+-iont bocsát az elektrolitba. A feltöltve magasabb oxidált állapotú átmenetifémet (Me) tartalmazó – réteges szerkezetű – katódanyag pedig kisütéskor az áramkörből x elektront felvéve x Li+-iont épít magába interkalálódva az elektrolitból, amivel újra alapállapotba jut. Így az akkumulátor ciklusait az alábbi reverzibilis bruttó folyamattal lehet leírni a standard LiMeO2 katódanyagok esetében:
 
(1)
 
ahol x1 + x2 < 1. A reakciók a cellán belül, az ezekhez kapcsolódó elektronáramok pedig a külső áramkörben zajlanak. Ezt szemlélteti vázlatosan a 10.2. ábra.
 
10.2. ábra. Egy LiMeO2 aktív katódanyaggal és grafitanóddal működő LIB ciklusai
 
A cella belsejében tehát az ideális működés során nem történik irreverzibilis átalakulás. Eltekintve a viszonylag kismértékű szerkezeti degradálódástól, ami főleg az elektrolitot és az elektródok felületét érinti, az elemi összetétel változatlan, így a kinyerhető anyagok értéke szempontjából a működési folyamatok konzervatívak.
Az éghető és illékony szerves karbonátokból álló elektrolit, valamint az abban oldott fluortartalmú lítiumsó veszélyes anyagok [7]. Az aktív katódanyag az akkumulátorok burkolaton belüli tömegének 30–35%-át teszi ki. A jelenleg legkedvezőbbnek tartott NMC-katódokban az átmenetifém (Ni + Co és valamennyire a Mn) összetevők jelentik a fő értéket. A Mn kinyerése egyáltalán nem gazdasági érdek, inkább csak az elválasztása szükséges. A Li – noha az átmenetifémekkel azonos kémiai mennyiséget képvisel, a kis atomtömege miatt csak kisebb fajlagos tömeget (< 10%) és a fajlagos egységára alapján viszonylag kis értékhányadot jelent az NMC-katódanyagban. Emellett az elektrolitban oldott só alig számottevő Li-mennyiséget jelent. A katód – az agresszív körülményeknek is ellenálló PVDF kötőanyag mellett – tartalmaz még vezető adalékként kormot is. A finomszemcsés keveréket egy Al áramkollektor-fólia hordozza. Ugyanilyen szerepet tölt be az anódanyagot hordozó Cu-fólia. Az utóbbi alkotó is hordoz kinyerhető értéket. Ezek a fóliák – apró darabokként – zömében még a metallurgiai kezelés előtt fizikai módszerekkel (aprítás + szitálás + további szeparálás) eltávolíthatók, és maradványaiktól a kémiai elválasztó lépéseknél kell megtisztítani az értékes fémoldatot. Az elektródok közvetlen érintkezését, a rövidzárlat kialakulását szeparátorfólia gátolja meg. Ez egy polietilénből vagy polipropilénből készített mikropórusos anyag. Ez is – ahogyan a fémes és a szerves alkotók – eltávolítható a fizikai előkészítés során.
A katód és az anód alkotóin kívül a Li-ion-akkumulátorok belseje viszonylag kevés további kinyerhető értéket képvisel, noha vannak törekvések a szerves elektrolit visszanyerésére is.
A katód aktív anyag (CAM) és a ~3 %-ban adalékolt korom szemcséit a szintén ~3%-ban adagolt és a hőnek, valamint a működésből adódó agresszív hatásoknak jól ellenálló polivinilidén-fluorid (PVDF) kötőanyag rögzíti az alumínium kollektorfólia felületén. Ennek az anyagnak a 10.3. ábrán (a) látható szerkezete jelzi a LiB-hulladék feldolgozásánál emissziós veszélyt is jelentő fluor egyik forrását. Az anódgrafitszemcséket – a katódhoz hasonlóan bekeverve – a 10.3. ábrán (b és c) vázolt Na-karboximetil-cellulóz (CMC) és sztirol-butadién gumi (SBR) kötőanyaggal rögzítik a Cu-fólián.
 
10.3. ábra A PVDF (a), valamint a CMC (b) és az SBR (c) kötőanyagok kémiai szerkezete
 
További fluort hordoz az elektrolitban oldott, leggyakrabban alkalmazott vezető só a lítium-hexafluoro-foszfát (LiPF6), ami a mozgékony Li+-ionok jelenlétét biztosítja. Emellett egyéb hasonló jellegű sók (LiBF4, LiCF3SO3 stb.) is előfordulhatnak ritkábban. A jellemzően használt LiPF6, valamint a hasonló LiBF4 vezető sók szerkezetét a 10.4. ábra szemlélteti.
 
10.4. ábra. A szerves elektrolitban oldható LiPF6 (a) és LiBF4 (b) Li-sók szerkezete
 
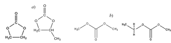
Mivel az elektródok közötti nagy potenciálkülönbség kizárja a vizes rendszert, az ionvezető elektrolit alapja a nagy dielektromos állandójú és a Li-sókat is oldó etilén-karbonát (EC, illetve PC), amihez a viszkozitás csökkentésére dimetil-karbonátot (DMC) és etil-metil-karbonátot (EMC) is kevernek. [8] Ezek szerkezetei láthatók az 10.5. ábrán.
 
10.5. ábra. Az elektrolit mátrixát adó ciklikus (EC és PC) (a), illetve lineáris (DMC, EMC) (b) szerves oldószeralkotók
 
Az elektródok felületének, az elektrolit stabilizálására és a cella működésének javítására egyéb egyszerű vagy polimerizált szerves segédanyagok (polietilén/propilén-oxid, poliakrilnitril stb.) adalékolása is jellemző. A szerves anyagok – elsősorban az elektrolit – jelentős nehézséget okoznak a LiB.hulladékból történő fémkinyerés folyamatában, amennyiben az előzetes eltávolításukra, semlegesítésükre, illetve szelektív kinyerésükre nem fordít gondot a feldolgozó technológia. A fémvegyületek, a grafit és a szerves anyagok mellett jelentős lehet még a szerkezeti műanyagok aránya is a cellák belső térkitöltésében.
A jelenlegi – és perspektivikus – LiB-cellák „katód aktív anyagainak” (CAM) az átlagos elemi összetételeit az 10.1. táblázat adja meg. Egy modern NMC811 típusú cella bruttó anyagmérlegét pedig a 10.2. táblázat, valamint a 10.6. ábra szemlélteti. Az értékes átmenetifémeket (Ni, Co) és a lítiumot az aktív katódanyag rejti magában. Ez a mechanikai előkészítő műveletek során por állapotban kerül a „black mass” köztitermékbe az anód grafitanyagával együtt.
 
10.1. táblázat. Különböző gyakori CAM-anyagok összetétele [9]
Elem
NMC111
NCM811
LCO
NCA
LFP
Koncentráció, %
Li
7,86
7,79
7,09
7,22
4,40
Co
20,21
6,02
60,21
9,20
Ni
20,13
47,93
48,87
Mn
18,84
5,61
Al
1,40
Fe
35,40
P
19,63
O
32,95
32,66
32,69
33,30
40,57
 
10.2. táblázat. Egy NMC típusú akkumulátorcella alkotóinak relatív mennyiségei
Alkotó
Szerep
Anyag
Tömeg, %
Katód
Kollektorfólia
Aktív bevonat
Al
NMC+PVDF-C-adalék
3,0
34,0
Anód
Kollektorfólia
Aktív bevonat
Cu
Grafit+SBR/CMC+adalék
7,2
17,9
Ház és külső
tartozékai
Érintkezők
Burkolat
Burkolófóliák
Gallér
Ragasztó
Egyéb
Cu
Al
Al
PP
PET
nem ismert
nem ismert
1,6
0,3
11,8
1,0
0,3
0,2
0,5
Szeparátor
Pórusos réteg
PP/PE
1,9
Elektrolit
Szerves oldószer
Vezető só
Adalék
EC+DMC+EMC+DEC
LiPF6
nem ismert
16,8
2,6
1,0
 
10.6. ábra. Egy elektromos járműben használt modern alumíniumházas NMC (Samsung SDI, 94 Ah / 3,7 V) típusú cella bruttó grafikus anyagmérlege
 
A technikailag tiszta (közel 99,9%-os) fémek ára igen különböző. A Mn esetében ez csak ~2,5 USD/kg, azonban a Ni ennél közel 10-szer, a Co pedig akár 20-szor is nagyobb fajlagos értéket képviselhet. A kinyerés célja általában a tiszta fémvegyület, aminek az értéke a móltömegek arányában kisebb, de a fémalkotó értéke ugyanúgy megjelenik az árában. Ugyanakkor értékhordozó az anódgrafit is, ami a hidrometallurgiai fémkinyerő eljárások esetén tisztítható maradványt képez. Visszajárathatósága a tisztítás hatékonyságától függ, de energiafejlesztésre mindenképpen alkalmas. Pirometallurgiai feldolgozás esetén közvetlenül elégve távozik.

Energiatárolási és akkumulátoripari alapismeretek

Tartalomjegyzék


Kiadó: Akadémiai Kiadó

Online megjelenés éve: 2025

ISBN: 978 963 664 126 9

A kötet átfogó, horizontális tematikával vezeti be az olvasót az akkumulátor értéklánc teljes spektrumába: bemutatja a villamosenergia-piac működését, a telepített energiatárolási megoldásokat, az akkumulátorok járműipari alkalmazása terén az alternatív hajtásláncok felépítését és kulcskomponenseit, valamint részletesen tárgyalja a Li-ion akkumulátorok felépítését, működését, gyártástechnológiáját és a legfrissebb fejlesztési irányokat. Áttekintést nyújt továbbá az akkumulátorok biztonságtechnikájáról, diagnosztikai eljárásairól és az újrahasznosítás legfontosabb szempontjairól. Az olvasó átfogó képet kaphat az elektrokémiai energiatárolás technológiai hátteréről, a mobilitási és telepített tárolási megoldások térnyeréséről, az akkumulátoripar hazai és globális fejlődési irányairól, valamint az ezekhez kapcsolódó lehetőségekről, kihívásokról és szabályozási kérdésekről. A kötet az akkumulátorgyártás alaplépéseitől a jármű- és energiarendszer-integrációig, a töltőinfrastruktúrától a biztonságtechnikai, gazdasági és jogi aspektusokig számos kapcsolódó területet is tárgyal. Hasznos olvasmány lehet gépész-, villamos- és vegyipari mérnökök, mechatronikai és gazdasági szakemberek, autóipari és energiaipari szereplők, valamint a közszféra és az oktatás területén dolgozók számára – de mindazoknak is, akik naprakész, rendszerszintű tudást keresnek az energiatárolás és az elektromobilitás dinamikusan fejlődő világában. A kötet elkészítését a Magyar Akkumulátor Szövetség támogatta.

Hivatkozás: https://mersz.hu/kun-energiatarolasi-es-akkumulatoripari-alapismeretek//

BibTeXEndNoteMendeleyZotero

Kivonat
fullscreenclose
printsave