Kun Róbert (szerk.)

Energiatárolási és akkumulátoripari alapismeretek

Fejezetek a villamosenergia-rendszerek, az elektrokémiai és további energiatárolási technológiák témaköréből


1.1. A hálózati kiegyenlítés kihívásai

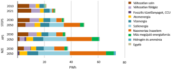
Bár a megújuló energiaforrásokra történő áttérés kézenfekvő megoldásnak tűnik a Párizsi megállapodásban foglalt követelmények teljesítéséhez (2.1–2.3. ábra), az időjárásfüggő megújuló energiaforrások – mint a szél- és napenergia – bizonytalan és változó természete hatalmas kihívásokat okoz, melyek kezelése a jelenleginél sokkal rugalmasabb energiarendszereket tesz szükségessé [2]. A rugalmasság olyan eszközökkel érhető el, mint például a különböző átviteli és energiatárolási rendszerek [3], keresletoldali irányítás [4] vagy a különböző energiaágazatok (pl. gáz, hő, villamos energia) integrálása [5], [6] a rendszerbe. Bár a fogyasztók hajlamosak természetesnek venni a villamosenergia-ellátás állandóságát, a villamosenergia-rendszerek stabilitásának fenntartása nagy erőfeszítést igényel a hálózatok kezelőitől [7]. Habár, a villamos energia iránti keresletnek és kínálatnak elvileg állandóan azonosnak kellene lennie, mindkettő nagyon változékony, ezért nagy szükség van az átvitelirendszer-üzemeltetők (TSO-k) folyamatos figyelmére és törődésére. A hálózat strukturális változásai miatt Európában a kiegyenlítő kapacitások és tevékenységek nagymértékű fejlődése várható a jövőben. Az időjárásfüggő megújuló energia részarányának növekedése és a villamos energia iránti változó kereslet következtében egyre nagyobb mértékű hálózati kiegyenlítésre lesz igény. Ehhez hozzájárulnak az olyan változások is, mint például az ágazatok széles körének villamosítása, illetve az az új tendencia, amely szerint a fogyasztóknak egyre több lehetőségük van a fogyasztás intelligens szabályozására és/vagy arra, hogy úgynevezett „prosumerekké”, azaz termelő fogyasztókká váljanak, akik maguk is képesek a villamosenergia-termelésre. Nem csoda, hogy ez a fajta fejlődés nagy beruházásokat, új technológiákat, valamint a hálózatirányítás új megközelítését igényli a zökkenőmentes integráció érdekében.
 
2.1. ábra. Villamosenergia-termelés források és szcenáriók szerint, 2010–2050 [8]
 
2.2. ábra. A globális villamosenergia-termelés jelene és várható jövője, 2021 és 2050 [8]
 
2.3. ábra. Globális beépített villamosenergia-kapacitás forrás és szcenárió szerint, 2010–2050 [8]
 
Jelenleg a hálózat kiegyenlítésére a legelterjedtebb megoldások a földgázalapú villamosenergia-termelés és a szivattyús-tározós vízerőművek alkalmazása (PHS) (2.4–2.10. ábra, 2.1–2.2. táblázat), amelyek biztosítani képesek a hálózat számára a szükséges rugalmasságot. Sajnos mindkét említett technológiának megvannak a maga korlátjai: a földgázt nemcsak importálni kell Európába, de még csak nem is klímasemleges, míg a PHS a földrajzi adottságokból kifolyólag számos országban nem alkalmazható. Európa legjelentősebb PHS-potenciálja az Alpokban összpontosul, és ennek nagy részét már most is hasznosítják a megújuló energiaforrásokból származó energiatermelés ingadozásainak európai szintű kiegyenlítése érdekében [9], [10].
A közelmúltban a villamosenergia-ágazat nemcsak a kínálat, de a kereslet tekintetében is radikális változásokon ment keresztül. Ami az ellátást illeti, egyre elterjedtebbé válnak a megújuló energiaforrásokat hasznosító technológiák, elsősorban a fotovillamos (PV) és a szélerőmű. A hálózat egyensúlyának fenntartása szempontjából ezen energiaforrások változékonysága nagy kihívást jelent. Ráadásul az éghajlatváltozás a megújuló energia időjárásfüggő forrásait is érinti, ami tovább bonyolíthatja a fennálló helyzetet. Ez abból adódik, hogy a klímaváltozás miatt egyes területeken változik a napsugárzás mennyisége vagy az elérhető szélenergia-potenciál. Manapság gyakori megoldás a megújuló energiaforrásokból származó villamosenergia-termelés összehangolása a hagyományos, alapterhelést vivő erőművekkel. Ez a fajta megoldás azonban számos komplikációt okoz a hálózatok, valamint az erőművek üzemeltetői számára is, ebből adódóan hosszú távon előnyösebbnek bizonyul a tároláson alapuló megoldások alkalmazása. Ez azt jelenti, hogy a kedvező időjárás esetén megtermelt többlet-villamosenergia tárolásra kerül annak érdekében, hogy később azt felhasználhassák, amikor a körülmények nem teszik lehetővé a szükséges mennyiségű megújuló energia előállítását [9], [10].
 
2.4. ábra. Energiatárolási projektek elhelyezkedése a világban, 2022-ig [11]
 
2.5. ábra. Energiatárolási adatok Németország esetében, szabadon választott energiatárolóra vonatkoztatottan, 2022-ben [11]
 
2.6. ábra. A világ energiatárolóinak névleges energiakapacitása 2022-ben (DOE) [11]
 
2.7. ábra. A világ energiatárolóinak névleges energiakapacitása 2022-ben szivattyús-tározós erőművek nélkül (DOE) [11]
 
2.8. ábra. A világ energiatárolóinak névleges energiatárolási teljesítménye 2022-ben (DOE) [11]
 
2.9. ábra. A világ energiatárolóinak névleges energiatárolási teljesítménye szivattyús-tározós erőművek nélkül 2022-ben (DOE) [11]
 
2.10. ábra. A világ energiatárolóinak darabszáma 2022-ben (DOE) [11]
 
2.1. táblázat. Az energiatárolási technológiák globális összefoglalása, 2022 (DOE) [11]
Energiatárolási kategória
Energiatárolási technológia
Összesen (db)
Névleges energiatárolási teljesítmény (MW)
Névleges energiakapacitás (MWh)
Elektorkémiai energiatárolási technológiák, akkumulátorok összesen
Cinkalapú akkumulátor összesen
4
6
218
Elektrokémiai kondenzátor összesen
24
33
21
Folyadékáramú akkumulátor összesen
86
314
1211
Hidrogéntárolás összesen
9
13
92
Lítiumion-akkumulátor összesen
385
1 426
2 769
Nátriumalapú akkumulátor összesen
52
183
1 160
Nikkelalapú akkumulátor összesen
7
32
10
Savas ólomakkumulátor összesen
59
82
126
Ismeretlen elektrokémiai energiatárolási technológia összesen
26
186
57
Elektromechanikai energiatárolási technológiák, összesen
Szivattyús-tározós vízerőművek összesen
290
151 600
1 597 865
Hőenergia-alapú energiatárolási technológiák összesen
Hő termikus tárolása összesen
15
62
158
Látens hőenergia tárolása összesen
124
112
690
Szenzibilis hőtároló rendszerek összesen
46
1 932
15 133
Ismeretlen hőenergia-alapú energiatárolási technológia összesen
2
12
6
Ismeretlen alapú energiatárolási technológiák összesen
Ismeretlen energiatárolási technológia
454
35 368
163 438
 
2.2. táblázat. Az energiatárolási technológiák EU-összefoglalása, 2022 (DOE) [11]
Energiatárolási kategória
Energiatárolás típusa
Összesen (db)
Névleges energiatárolási teljesítmény (MW)
Névleges energiakapacitás (MWh)
Elektorkémiai energiatárolási technológiák, akkumulátorok összesen
Elektrokémiai kondenzátor összesen
5
6,3
20,4
Folyadékáramú akkumulátor összesen
18
3,1
12,4
Hidrogéntárolás összesen
7
11,4
92,0
Lítiumion-akkumulátor összesen
72
309,7
437,4
Nátriumalapú akkumulátor összesen
17
46,1
309,7
Nikkelalapú akkumulátor összesen
1
3,0
2,4
Savas ólomakkumulátor összesen
5
10,3
15,3
Ismeretlen energiatárolási technológia összesen
2
6,8
8,3
Elektromechanikai energiatárolási technológiák, összesen
Szivattyús-tározós vízerőművek összesen
121
37 880
1 193 568
Hőenergia-alapú energiatárolási technológiák összesen
Hő termikus tárolása összesen
3
41,0
41,0
Látens hőenergia tárolása összesen
1
4,6
0,0
Szenzibilis hőtároló rendszerek összesen
14
555,3
4331,2
Ismeretlen energiatárolási technológia összesen
1
10,0
adat nem érhető el
Ismeretlen alapú energiatárolási technológiák összesen
Ismeretlen alapú energiatárolási technológiák összesen
22
670,4
1 064,8
 
A megújuló energiaforrások növekvő aránya mellett a hálózati kiegyenlítés nehézségét szintén növelik azok a pontok, ahol a megújulóenergia-termelési kapacitások a villamosenergia-hálózathoz csatlakoznak, mert ezek miatt a hálózat egyre kevésbé centralizálttá válik. Itt szintén egyre nagyobb igény merül fel a tárolókapacitások alkalmazásával kapcsolatban. Az energiatároló eszközök és a megújuló energiaforrásokkal működő erőművek integrálása az elosztóhálózatba napjainkban egyre nélkülözhetetlenebbé válik a kétirányú áramlás elkerülése érdekében, mert a kétirányú áramlás veszélyezteti az ellátás minőségét a villamosenergia-rendszerben. A decentralizáció lehetővé teszi a villamosenergia-termelő közösségek mikrohálózatainak létrehozását is, amelyek önfenntartók és a nemzeti villamosenergia-hálózatoktól függetlenül képesek létezni. Azonban, a mikrohálózatokban végbemenő decentralizált energiatermelés – különösen az időjárásfüggő energiaforrások használata esetén – önmagában nem elég megbízható. Következtetésképpen egy ilyen rendszernek megfelelő, kiegyensúlyozó megoldásokra van igénye [12–15]. A fent említett nehézségek ellenére a rendszer egészének megbízhatósága és energiafüggetlensége javul azáltal, hogy a központosított hálózatot decentralizált energiával és tárolórendszerekkel egészítik ki. Annak, hogy a fotovillamos napelemes rendszerek az elmúlt évtizedben rendkívül nagy sebességgel terjedtek el a világban, különösen az elosztás szintjén, számos oka van. Két változás tűnik különösen kiemelkedőnek: egyrészt a fotovillamos rendszerek csökkenő költségei, másrészt a villamos energia kiskereskedelmi árának növekedése. Ezek a tények még vonzóbbá teszik a fogyasztók számára a saját termelésű villamos energiát. Ezenfelül a világ számos részén a PV-energia előállítását különféle szubvenciókkal, ösztönzési programokkal támogatják is [16].
A szél- és a fotovillamos energia növekvő aránya az energiamixben természetesen szükségessé teszi a jelenlegi infrastruktúra korszerűsítését az új helyzethez való alkalmazkodás érdekében. Az időjárásfüggő megújuló energiaforrásokból (VRES) származó energiaellátás változékonysága és/vagy viszonylagos kiszámíthatatlansága (11–13. ábra) megnehezíti [17–19], hogy a mindenkori energiakínálat megfeleljen a keresletnek, és ez az eltérés felelős az egyensúlyhiány fokozott veszélyéért a nagy szél- és fotovillamos kapacitásokkal rendelkező villamosenergia-hálózatokban [20].
Annak érdekében, hogy a működési paraméterek a kívánt intervallumon belül maradjanak az olyan villamosenergia-hálózatban is, amelyben jelentős a decentralizált VRES-használat aránya, szükséges lehet magának a hálózatnak, illetve a felhasználók általi használat módjának a módosítása [21–13]. A jelenlegi gyakorlat elsősorban egyrészt a villamosenergia-termelés korlátozásán alapul a többletenergia-termelés elkerülése érdekében, másrészt a nem megújuló, programozható tartalékkapacitások felhasználásán az ellátás stabilitásának garantálása érdekében. Azonban ezek a megoldások a gyorsan növekvő VRES-penetráció mellett nem biztos, hogy hosszú távon elegendőek lesznek az energiaátmenet folyamatának támogatásához [24].
A decentralizált energiatermelő rendszerek dinamikus irányítása elengedhetetlen a jobb rendszerteljesítmény érdekében, hogy ezáltal jó minőségű, megbízható energiaellátás legyen biztosítható. A decentralizált energiatermelés, mely nemcsak a különféle nemzeti szabályozásoknak és programoknak, hanem a gazdasági változásoknak is a függvénye, jelentős mértékben profitálhat az energiatároló rendszerekből a jobb gazdasági alapú programozhatóság révén. A tárolóeszközök hatékony, valamint eredményes használata azonban nemcsak a rendszer rugalmasságától, hanem az intelligens vezérlésétől is függ. E cél elérése – és ezáltal a működőképesség, illetve a tárolás élettartamának növelése – érdekében számos intelligens eszköz és megoldás létezik, többek között különböző algoritmusok, hardware-in-the-loop szimulációk és időjárás-előrejelzések [1], [25].
 
2.11. ábra. Példa: Belgiumban található, 7593 MWp kapacitású, monitorozott naperőművek (PV) energiatermelésének jellemzője felhőmentes időszakban, 2023.június 5-én [26]
 
2.12. ábra. Példa: Belgiumban található, 7593 MWp kapacitású, monitorozott naperőművek (PV) energiatermelésének jellemzője napos-felhős időszakban, 2023. június 7-én [26]
 
2.13. ábra. Példa: Belgiumban található, 5244 MWp kapacitású, monitorozott szélerőművek energiatermelésének jellemzője, 2023. június 1-én [27]
 

Energiatárolási és akkumulátoripari alapismeretek

Tartalomjegyzék


Kiadó: Akadémiai Kiadó

Online megjelenés éve: 2025

ISBN: 978 963 664 126 9

A kötet átfogó, horizontális tematikával vezeti be az olvasót az akkumulátor értéklánc teljes spektrumába: bemutatja a villamosenergia-piac működését, a telepített energiatárolási megoldásokat, az akkumulátorok járműipari alkalmazása terén az alternatív hajtásláncok felépítését és kulcskomponenseit, valamint részletesen tárgyalja a Li-ion akkumulátorok felépítését, működését, gyártástechnológiáját és a legfrissebb fejlesztési irányokat. Áttekintést nyújt továbbá az akkumulátorok biztonságtechnikájáról, diagnosztikai eljárásairól és az újrahasznosítás legfontosabb szempontjairól. Az olvasó átfogó képet kaphat az elektrokémiai energiatárolás technológiai hátteréről, a mobilitási és telepített tárolási megoldások térnyeréséről, az akkumulátoripar hazai és globális fejlődési irányairól, valamint az ezekhez kapcsolódó lehetőségekről, kihívásokról és szabályozási kérdésekről. A kötet az akkumulátorgyártás alaplépéseitől a jármű- és energiarendszer-integrációig, a töltőinfrastruktúrától a biztonságtechnikai, gazdasági és jogi aspektusokig számos kapcsolódó területet is tárgyal. Hasznos olvasmány lehet gépész-, villamos- és vegyipari mérnökök, mechatronikai és gazdasági szakemberek, autóipari és energiaipari szereplők, valamint a közszféra és az oktatás területén dolgozók számára – de mindazoknak is, akik naprakész, rendszerszintű tudást keresnek az energiatárolás és az elektromobilitás dinamikusan fejlődő világában. A kötet elkészítését a Magyar Akkumulátor Szövetség támogatta.

Hivatkozás: https://mersz.hu/kun-energiatarolasi-es-akkumulatoripari-alapismeretek//

BibTeXEndNoteMendeleyZotero

Kivonat
fullscreenclose
printsave