Energiatárolási és akkumulátoripari alapismeretek
Fejezetek a villamosenergia-rendszerek, az elektrokémiai és további energiatárolási technológiák témaköréből
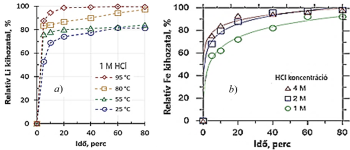
3.2.1. Kioldás
|
2LiCoO2 + 3H2SO4 + H2O2 = 2CoSO4 + Li2SO4 + 4H2O + O2
|
(5)
|
|
2LiFePO4 + 2H2O2 = 2LiOH + 2FePO4 + H2O + 0,5O2
|
(7)
|
|
2FePO4 + 3H2SO4 = Fe2(SO4)3 + 2H3PO4
|
(8)
|
Tartalomjegyzék
- Energiatárolási és akkumulátoripari alapismeretek
- Impresszum
- Előszó
- Akkumulátoros tárolók a villamosenergia-piacon
- Bevezetés
- 1. A villamosenergia-piac működése dióhéjban
- 2. A tárolók üzleti modelljeit megalapozó változások a villamosenergia-rendszerben
- 3. A tárolók használati esetei a villamosenergia-piacon
- 4. Irodalom
- Bevezetés
- A villamosenergia-rendszer kihívásai az időjárásfüggő megújuló energiaforrások vonatkozásában
- 1. Bevezetés
- 1.1. A hálózati kiegyenlítés kihívásai
- 1.2. A fotovillamos teljesítmény előrejelzésének fontossága a villamosenergia-hálózatok szempontjából
- 1.3. Energiatároló rendszerek: jelentőségük és potenciális szerepük az Európai Unióban
- 1.4. Hálózatkiegyenlítési szempontok, az akkumulátoros energiatároló rendszerek piaci alkalmazásai, a PV-energia integrációjának megoldásai és sikeressége
- 1.1. A hálózati kiegyenlítés kihívásai
- 2. Irodalom
- 1. Bevezetés
- Telepített akkumulátorok – a hálózati elektrokémiai energiatárolás alapjai
- 1. Bevezetés
- 2. Energiatárolás: mit, miért, hogyan?
- 3. Az energiatárolás fajtái
- 4. Pszeudoakkumulátorok
- 5. A telepített akkumulátorok előnyei
- 6. Hálózati tárolás
- 7. Esettanulmányok
- 7.1. Kisváros, 1 órás áramszünet – Li-ion-akkumulátoros megoldás
- 7.2. Kisváros, három és fél napos áramszünet – Li-ion-akkumulátoros megoldás
- 7.3. Kisváros, három és fél napos áramszünet – P2M pszeudoakkumulátoros megoldás
- 7.4. Kisváros, három hónapos „vulkán+zombik” szenárió – P2M pszeudoakkumulátoros megoldás
- 7.5. A TERNA-projekt
- 7.1. Kisváros, 1 órás áramszünet – Li-ion-akkumulátoros megoldás
- 8. Összefoglalás
- 9. Irodalom
- Elektromobilitási rendszer és szolgáltatások, töltő-infrastruktúra
- Alternatív járműhajtások
- Az átmeneti energiatárolásra használható elektrokémiai rendszerek leírásának termodinamikai és elektrokémiai aspektusai
- 1. Átmeneti energiatárolás elektrokémiai rendszerekben ‒ termodinamikai és elektrokémiai alapok
- 1.1. Bevezetés
- 1.2. Az elektrokémiai energiatárolási technológiák
- 1.3. Kémiai és elektrokémiai háttér
- 1.4. Az elektrokémiai cella
- 1.5. Az elektrokémiai cella reprezentációja
- 1.6. Az elektrokémiai cella termodinamikai jellemzése
- 1.7. Az elektrokémiai cellával és az elektródokkal kapcsolatos egyéb fogalmak
- 1.8. Az elektródok osztályozása
- 1.9. Az elektrokémiai cellát jellemző fizikai kémiai mennyiségekről
- 1.10. A heterogén elektrokémiai rendszereket (elektrokémiai cella, elektród) jellemző elektrokémiai-termodinamikai mennyiségek
- 1.11. Elektrokémiai egyensúlyi diagramok
- 1.12. Az elektromotoros erő (EMF) hőmérsékletfüggése alapján meghatározható termodinamikai mennyiségek
- 1.13. A cellareakció potenciálja és a reakció egyensúlyi állandója
- 1.14. Az (elektro)kémiai áramforrások osztályozása a gyakorlatban
- 1.1. Bevezetés
- 2. Irodalom
- 1. Átmeneti energiatárolás elektrokémiai rendszerekben ‒ termodinamikai és elektrokémiai alapok
- Bevezetés a Li-ion-akkumulátorok technológiájába
- 1. A Li-ion-akkumulátorok működési elve és komponensei
- 1.1. Az elektrokémiai energiatárolás történeti áttekintése
- 1.2. A lítiumelemek és a Li-ion-akkumulátorok történeti áttekintése
- 1.3. A Li-ion-akkumulátorok működési elve
- 1.4. Az újratölthető Li-ion-akkumulátorok szerkezete és anyagai
- 1.5. A hagyományos Li-ion-akkumulátorok öregedési folyamatai
- 1.1. Az elektrokémiai energiatárolás történeti áttekintése
- 2. A Li-ion-akkumulátorok fejlesztési irányai
- 3. Li-ion-akkumulátorcellák, modulok és akkumulátorcsomagok gyártása
- 4. Irodalom
- 1. A Li-ion-akkumulátorok működési elve és komponensei
- Li-ion-akkumulátorok biztonságtechnikája és akkumulátortesztelési eljárások
- 1. Bevezetés
- 2. A biztonságtechnika és a diagnosztika fontossága a Li-ion-akkumulátorok használata során
- 3. Biztonságtechnikai kihívások és tönkremeneteli mechanizmusok a Li-ion-akkumulátorokban
- 4. Diagnosztikai eljárások és céljaik a Li-ion-biztonságtechnika szolgálatában
- 5. Összefoglalás
- 6. Irodalom
- 1. Bevezetés
- Akkumulátorfelügyeleti rendszerek (BMS) és akkumulátordiagnosztika
- 1. Akkumulátorfelügyeleti rendszerek (BMS)
- 2. Az akkumulátorrendszerek diagnosztikája
- 2.1. Új akkumulátorok és egyéb termékekkel kapcsolatos vizsgálati szabványok
- 2.2. Az akkumulátorok szabványok szerinti vizsgálatához kapcsolódó fontosabb szabványok és vizsgálatok
- 2.3. Használt akkumulátorok vizsgálata – UL 1974 szabvány szerinti folyamatok
- 2.4. Akkumulátorok anyagtudományi vizsgálatai
- 2.1. Új akkumulátorok és egyéb termékekkel kapcsolatos vizsgálati szabványok
- 3. Akkumulátordiagnosztikai esettanulmányok
- 4. Irodalom
- Li-ion-akkumulátorok újrahasznosítási technológiái
Kiadó: Akadémiai Kiadó
Online megjelenés éve: 2025
ISBN: 978 963 664 126 9
A kötet átfogó, horizontális tematikával vezeti be az olvasót az akkumulátor értéklánc teljes spektrumába: bemutatja a villamosenergia-piac működését, a telepített energiatárolási megoldásokat, az akkumulátorok járműipari alkalmazása terén az alternatív hajtásláncok felépítését és kulcskomponenseit, valamint részletesen tárgyalja a Li-ion akkumulátorok felépítését, működését, gyártástechnológiáját és a legfrissebb fejlesztési irányokat.
Áttekintést nyújt továbbá az akkumulátorok biztonságtechnikájáról, diagnosztikai eljárásairól és az újrahasznosítás legfontosabb szempontjairól. Az olvasó átfogó képet kaphat az elektrokémiai energiatárolás technológiai hátteréről, a mobilitási és telepített tárolási megoldások térnyeréséről, az akkumulátoripar hazai és globális fejlődési irányairól, valamint az ezekhez kapcsolódó lehetőségekről, kihívásokról és szabályozási kérdésekről. A kötet az akkumulátorgyártás alaplépéseitől a jármű- és energiarendszer-integrációig, a töltőinfrastruktúrától a biztonságtechnikai, gazdasági és jogi aspektusokig számos kapcsolódó területet is tárgyal. Hasznos olvasmány lehet gépész-, villamos- és vegyipari mérnökök, mechatronikai és gazdasági szakemberek, autóipari és energiaipari szereplők, valamint a közszféra és az oktatás területén dolgozók számára – de mindazoknak is, akik naprakész, rendszerszintű tudást keresnek az energiatárolás és az elektromobilitás dinamikusan fejlődő világában. A kötet elkészítését a Magyar Akkumulátor Szövetség támogatta.
Hivatkozás: https://mersz.hu/kun-energiatarolasi-es-akkumulatoripari-alapismeretek//
BibTeXEndNoteMendeleyZotero