Kun Róbert (szerk.)

Energiatárolási és akkumulátoripari alapismeretek

Fejezetek a villamosenergia-rendszerek, az elektrokémiai és további energiatárolási technológiák témaköréből


3.2. Hibrid működésmódok [6]

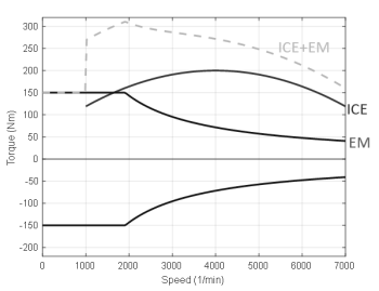
A két hajtásrendszer együttműködése levezethető a nyomaték-jelleggörbék egyesítéséből, amit általánosan mutat a 5.4. ábra.
 
5.4. ábra. A hibrid hajtásláncban a belső égésű motor és a villamos gép együttműködésének közös karakterisztikája
 
Milyen feltételek befolyásolhatják, hogy a hajtásrendszerek mikor és milyen arányban vegyenek részt a jármű hajtásában? Az első fontos szempont a két hajtásrendszer teljesítményeinek az aránya. Amennyiben a villamos gép teljesítménye lényegesen kisebb a belső égésű motorénál, akkor előbbi inkább csak rásegítő funkciót lát el. Minél nagyobb a villamos gép teljesítménye, annál inkább célszerű egyre nagyobb arányban működtetni is, hiszen tisztább és takarékosabb. Természetesen ezzel együtt a hozzá tartozó akkumulátornak is egyre nagyobb kapacitásúnak kell lennie. A második fontos szempont a pillanatnyi működési stratégia meghatározásához az akkumulátor töltöttsége. Magas töltöttség esetén célszerű hajtásra használni a villamos gépet. Alacsony töltöttség esetén pedig szintén célszerű működtetni a villamos gépet, csak ebben az esetben generátorüzemben, az akkumulátor töltésére. A stratégia kiválasztásához a harmadik fontos szempont pedig a jármű használata. Más stratégia lehet szükséges városi, országúti, autópálya- vagy hegymenet-üzemmódokban. A stratégia tovább optimalizálható, amennyiben ismerjük a megtenni tervezett útvonalat is.
Adódhat a kérdés, hogy egy hibrid hajtású járműben van-e értelme a tisztán belső égésű motoros üzemmódnak. Az előbbi gondolatmenetből kiindulva a válasz nem, vagy csak nagyon ritkán. Amennyiben a jármű hosszú távon azonos üzemállapotban halad nagyobb terheléssel (pl. autópályaüzem), előfordulhat, hogy a villamos rásegítés nem tud számottevően javítani a fogyasztáson. Viszont ilyen hosszú stacioner üzemállapot nagyon ritkán alakul ki, rásegítés- és visszatöltés-üzemmódokban ilyenkor is igyekszik segíteni a villamos hajtás.
A működési stratégia másik „véglete” a tisztán villamos üzem. Ilyenkor a jármű akkumulátoros elektromos autóként működik. A belső égésű motor nyomatéka nélkül csak kisebb teljesítményt tud leadni a hajtáslánc. Ezt viszont alacsony zajkibocsátással és lokálisan emissziómentesen teszi. A működési mód feltétele a magas akkumulátortöltöttség (és a nagyobb kapacitás). Nagyvárosok alacsony emissziós zónáiba ezzel az üzemmóddal be lehet hajtani. A működési üzemtartományt és a teljesítményfolyamot mutatja az 5.5. ábra.
 
5.5. ábra. A hibrid hajtáslánc tisztán elektromos módjának üzemtartománya
 
A tisztán elektromos üzemmód másik fele az, amikor a villamos gép generátorüzemben működik. Lassításkor, illetve lejtmenetben alkalmazható és a fékezési módban. Ilyenkor a jármű mozgási energiáját visszaalakítjuk az akkumulátorban kémiailag kötött elektromos energiává. A működés feltétele, hogy az akkumulátor töltöttsége ne legyen a maximum közelében. A hibrid hajtású járművek egyik legnagyobb előnye ez az üzemmód, ugyanis hagyományos hajtások esetén fékezés közben teljes egészében hővé disszipáljuk, azaz elpazaroljuk a mozgási energiát. A rekuperatív visszatöltés üzeme látható a 5.6. ábrán.
 
5.6. ábra. A hibrid hajtáslánc rekuperatív fékezési módjának üzemtartománya
 
Amennyiben nagy a vonóerőigény, a két hajtórendszer egyidejűleg is hajthatja a járművet, így lehet a legnagyobb gyorsulást megvalósítani. Ezt a működést szokás „boost” módnak is hívni. Az alkalmazhatóság feltétele, hogy az akkumulátor töltöttsége ne legyen túl alacsony. A hibrid hajtásrendszer topológiája meghatározza ennek a megvalósíthatóságát. Például a fordulatszámok egyeztetésének a kialakítása miatt ez nem mindig jelenti a két hajtásrendszer maximális teljesítményének az összegét. A legnagyobb vonóerő mód teljesítményfolyama és a jellegmező aktív területe látható a 5.7. ábrán.
 
5.7. ábra. A hibrid hajtáslánc legnagyobb vonóerő módjának üzemtartománya
 
Előfordulhat olyan eset is, amikor az akkumulátor töltöttsége alacsony, viszont viszonylag kevés a lassítás és a lejtmenet – ilyenkor kevés lehetőség van regeneratív fékezéssel történő akkumulátortöltésre. Ebben az esetben az akkumulátor tölthető úgy is, hogy a belső égésű motor az effektív teljesítményének egy részével a járművet hajtja, a másik részével pedig a villamos géppel, generátor-üzemmódban az akkumulátort tölti. Természetesen ebben a módban a tüzelőanyag-fogyasztás jelentősen megnövekszik. Célszerű ezt a módot bekapcsolni, ha a jármű alacsony emissziójú zóna felé közeledik, hogy ott az elektromos hatótáv nagyobb legyen. Az üzemmódot terheléseltolásnak hívják, a jellemzői a 5.8. ábrán figyelhetők meg.
 
5.8. ábra. A hibrid hajtáslánc terheléseltolás módjának üzemtartománya
 
A belső égésű motorral álló helyzetben is lehet a villamos gépet hajtani, generátorüzemben, az akkumulátor töltésére. Ezt a módot állóhelyzeti töltésnek nevezzük, a célja ugyanaz lehet, mint az előbb említett terheléseltolás módnak. A mód működése közben jelentősen nő a tüzelőanyag-fogyasztás, hiszen álló helyzetben enélkül a belső égésű motor is leállítható lenne. Emiatt ezt a módot városok emissziómentes zónáiban általában tilos használni. Ez a mód a 5.9. ábrán tekinthető meg.
 
5.9. ábra. A hibrid hajtáslánc állóhelyzeti töltés módjának üzemtartománya
 
Soros hibrideknél megkülönböztethetjük a hatótávnövelő módot is. Ezekben a járművekben a belső égésű motor nincs közvetlen mechanikai kapcsolatban a kerékhajtással. A hajtáslánc két villamos gépet tartalmaz: egy egyiket a belső égésű motor hajtja generátorüzemben, a másik pedig a kerekeket hajtja. Amennyiben az akkumulátor töltöttsége alacsony, a belső égésű motor egy jó hatásfokú munkapontban üzemelve fedezheti a hajtás teljesítményigényét. Az ilyen járművekben alkalmazott belső égésű motor rendszerint kisebb teljesítményű, egyszerű konstrukció, ami egy szűk tartományban alacsony fogyasztással tud üzemelni. A topológia és a teljesítményfolyam megfigyelhető a 5.10. ábrán.
 
5.10. ábra. A hibrid hajtáslánc hatótávnövelő módjának üzemtartománya
 
A bemutatott módok általánosságban vázolták a lehetőségeket, az adott konstrukció befolyásolhatja ezeknek a megvalósítását, illetve további módok megvalósítását teszi lehetővé.
A hibrid rendszerek egyik jellemző csoportosítása a hajtásrendszerek egymáshoz viszonyított teljesítményén alapul. Kezdetben hibridizáltsági foknak hívták, ma már elektrifikációnak nevezik inkább. A tisztán belső égésű motoros jármű elektrifikációs foka 0, a tisztán villamos hajtásláncé 1. A hibrid járműveket az elektrifikációs foka alapján változatos kereskedelmi megnevezésekkel szokták illetni. A villamos hajtás teljesítménye kicsi a „lágy” és „mikro”-hibridekben, az ilyen járművek tisztán elektromos üzemben nem is tudnak közlekedni. A „full” és a „plug-in” hibridekben már nagyobb teljesítményű villamos hajtás van, ezek rendszerint már képesek tisztán elektromos üzemre, utóbbi hosszabb távra is. A „range-extender”, azaz a hatótávnövelő hibrid autóknál a villamos teljesítmény nagyobb a belső égésű motorénál.
 

Energiatárolási és akkumulátoripari alapismeretek

Tartalomjegyzék


Kiadó: Akadémiai Kiadó

Online megjelenés éve: 2025

ISBN: 978 963 664 126 9

A kötet átfogó, horizontális tematikával vezeti be az olvasót az akkumulátor értéklánc teljes spektrumába: bemutatja a villamosenergia-piac működését, a telepített energiatárolási megoldásokat, az akkumulátorok járműipari alkalmazása terén az alternatív hajtásláncok felépítését és kulcskomponenseit, valamint részletesen tárgyalja a Li-ion akkumulátorok felépítését, működését, gyártástechnológiáját és a legfrissebb fejlesztési irányokat. Áttekintést nyújt továbbá az akkumulátorok biztonságtechnikájáról, diagnosztikai eljárásairól és az újrahasznosítás legfontosabb szempontjairól. Az olvasó átfogó képet kaphat az elektrokémiai energiatárolás technológiai hátteréről, a mobilitási és telepített tárolási megoldások térnyeréséről, az akkumulátoripar hazai és globális fejlődési irányairól, valamint az ezekhez kapcsolódó lehetőségekről, kihívásokról és szabályozási kérdésekről. A kötet az akkumulátorgyártás alaplépéseitől a jármű- és energiarendszer-integrációig, a töltőinfrastruktúrától a biztonságtechnikai, gazdasági és jogi aspektusokig számos kapcsolódó területet is tárgyal. Hasznos olvasmány lehet gépész-, villamos- és vegyipari mérnökök, mechatronikai és gazdasági szakemberek, autóipari és energiaipari szereplők, valamint a közszféra és az oktatás területén dolgozók számára – de mindazoknak is, akik naprakész, rendszerszintű tudást keresnek az energiatárolás és az elektromobilitás dinamikusan fejlődő világában. A kötet elkészítését a Magyar Akkumulátor Szövetség támogatta.

Hivatkozás: https://mersz.hu/kun-energiatarolasi-es-akkumulatoripari-alapismeretek//

BibTeXEndNoteMendeleyZotero

Kivonat
fullscreenclose
printsave