Privatizáció és államosítás Magyarországon I.
Bevezetés
3.6.4. Részvényértékesítés árveréssel
-
Zárt licites árverés: ilyenkor minden licitáló írásba adja árajánlatát, és azt zárt borítékba helyezi. Amikor a borítékokat megfelelő procedúra keretében kinyitják, az lesz a nyertes, aki a legmagasabb árajánlatot tette.
-
Angol árverés: az árverést levezető egy kikiáltási ár (minimumár) bejelentésével nyitja meg az aukciót. A licitállók egymás után ajánlanak egyre magasabb árakat. Általában az egyes ajánlatoknak egy minimális licitnövekménnyel (pl. 5 millió Ft) kell meghaladniuk az előző ajánlatot. Az aukciót a legmagasabb ajánlatot tevő nyeri meg.2
-
Holland árverés: a módszer Hollandiából származik, ahol sajtok és friss virágok eladásakor alkalmazzák. Ilyenkor az árverés vezetője egy magas ár kikiáltásával nyit. Ezt fokozatosan, lépésenként csökkenti egészen addig, amíg valaki hajlandó lesz megvenni az eladásra kínált jószágot.
-
Filatelista árverés (Vickrey-aukció): az első elnevezés arra utal, hogy eredetileg bélyeggyűjtők használták. A második elnevezés William Vickrey amerikai közgazdászra utal, aki 1996-ban éppen az árverések elemzése terén kifejtett munkásságáért kapott Nobel- díjat. A Vickrey-aukció a zárt licites árveréshez hasonlít azzal a fontos különbséggel, hogy a nyertes a legmagasabb ajánlattevő lesz, de a második legmagasabb árat kell csak fizetnie.3 Bebizonyítható – és ezért kapta Vickrey a magas kitüntetést –, hogy ez a látszólag furcsa árverezési technika biztosítja a lehető legmagasabb bevételt az eladónak.
|
Társaság neve
|
Árverési névérték (millió Ft)
|
Licitár
|
Ráajánlás összege
(licitlépcső, 1000 Ft)
|
Eladási ár
(millió Ft)
|
|
Hungarocamion Rt.
|
0,35
|
0,21
|
20
|
0,2
|
|
Balaton Füszért Rt.
|
79,5
|
61,0
|
200
|
…
|
|
Cívis Hotels Rt.
|
32,0
|
15,2
|
200
|
…
|
|
Konsumex Rt.
|
135,0
|
19,90
|
200
|
19,9
|
|
Középület-építő Rt.
|
0,26
|
0,26
|
20
|
0,26
|
|
Pécsi Építő és Tatarozó Rt.
|
9,4
|
10,2
|
200
|
…
|
|
Jászberényi Aprítógépgyár Rt.
|
0,05
|
0,07
|
10
|
0,07
|
|
Sorszám
|
Cég
|
Kikiáltási ár (Ft)
|
Leütési ár (Ft)
|
|
1
|
AES-Tisza Erőmű Kft.
|
715 000
|
3 400 000
|
|
2
|
Agrogeo Kft.
|
nincs regisztráció
|
0
|
|
3
|
Álom Sziget 2004 Kft.
|
645 000
|
6 660 000
|
|
4
|
Aranyhíd-Coop Zrt.
|
45 000
|
75 000
|
|
5
|
Visszavonás
|
0
|
0
|
|
6
|
Budapesti Erőmű Zrt.
|
11 000
|
1 333 000
|
|
7
|
Dél-magyarországi Áramszolgáltató Zrt.
|
10 000
|
2 100 000
|
|
8
|
Dunakő Kft.
|
nincs regisztráció
|
0
|
|
9
|
Dunamenti Erőmű Zrt.
|
11 000
|
250 000
|
|
10
|
Égáz–Dégáz Gázszolgáltató Zrt.
|
6000
|
500 000
|
|
11
|
E.ON Dél-dunántúli Áramszolgáltató Zrt.
|
10 000
|
3 355 000
|
|
12
|
E.ON Dél-dunántúli Gázszolgáltató Zrt.
|
1000
|
210 000
|
|
13
|
E.ON Észak-dunántúli Áramszolgáltató Zrt.
|
10 000
|
10 000 000
|
|
14
|
E.ON Közép-dunántúli Gázszolgáltató Zrt.
|
2000
|
320 000
|
|
15
|
E.ON Tiszántúli Áramszolgáltató Zrt.
|
10 000
|
4 001 000
|
|
16
|
Épvízkör Kft.
|
56 000 000
|
56 000 000
|
|
17
|
Fazekaszugi Vízhasznosítási Kft.
|
2 485 000
|
2 485 000
|
|
18
|
Háttér Kiadó Kft.
|
1 410 000
|
1 510 000
|
|
19
|
Herz Szalámigyár Zrt.
|
36 000
|
1 010 000
|
|
20
|
Hungaropharma Zrt.
|
15 000
|
333 000
|
|
21
|
Irodapark Zrt.
|
2000
|
1 101 000
|
|
22
|
Kalocsai Fűszerpaprika Zrt.
|
1000
|
220 000
|
|
23
|
Kapos-Coop Zrt.
|
120 000
|
290 000
|
|
24
|
Kórháztechnika Zrt.
|
nincs regisztráció
|
0
|
|
25
|
Közúti Társaságok Vendégháza Kft.
|
nincs regisztráció
|
0
|
|
26
|
Kutatópark Zrt.
|
8000
|
1 300 000
|
|
27
|
La Prima Kft.
|
1 225 000
|
1 325 000
|
|
28
|
Makói Hagymakertész Kft.
|
nem tartották a kikiáltási árat
|
0
|
|
29
|
Móricz Park Zrt.
|
5000
|
2 101 000
|
|
30
|
Visszavonás
|
|
|
|
31
|
Pannon Hőerőmű Zrt.
|
6000
|
250 000
|
|
32
|
Visszavonás
|
|
|
|
33
|
Richárd Zrt.
|
6000
|
1 500 000
|
|
34
|
Róna-IM Kft.
|
136 000 000
|
136 000 000
|
|
35
|
Szákszendi Mezőg. Termelő és Szolg. Zrt.
|
500 000
|
600 000
|
|
36
|
TBP Zrt.
|
25 000
|
4 000 000
|
|
Összesen:
|
199 320 000
|
242 229 000
|
|
|
Harvard (): . : .
: /hivatkozas/m1259peam1_6384/#m1259peam1_6384 ()
Chicago . . . : .
(: /hivatkozas/m1259peam1_6384/#m1259peam1_6384)
APA (). . .
(: /hivatkozas/m1259peam1_6384/#m1259peam1_6384)
|
|
Harvard (): . : .
: /hivatkozas/m1259peam1_6390/#m1259peam1_6390 ()
Chicago . . . : .
(: /hivatkozas/m1259peam1_6390/#m1259peam1_6390)
APA (). . .
(: /hivatkozas/m1259peam1_6390/#m1259peam1_6390)
|
|
Harvard (): . : .
: /hivatkozas/m1259peam1_6391/#m1259peam1_6391 ()
Chicago . . . : .
(: /hivatkozas/m1259peam1_6391/#m1259peam1_6391)
APA (). . .
(: /hivatkozas/m1259peam1_6391/#m1259peam1_6391)
|
|
Harvard (): . : .
: /hivatkozas/m1259peam1_6392/#m1259peam1_6392 ()
Chicago . . . : .
(: /hivatkozas/m1259peam1_6392/#m1259peam1_6392)
APA (). . .
(: /hivatkozas/m1259peam1_6392/#m1259peam1_6392)
|
|
Harvard (): . : .
: /hivatkozas/m1259peam1_6393/#m1259peam1_6393 ()
Chicago . . . : .
(: /hivatkozas/m1259peam1_6393/#m1259peam1_6393)
APA (). . .
(: /hivatkozas/m1259peam1_6393/#m1259peam1_6393)
|
| 1 | „[J]obb lenne, ha az Egyesült Államokban a rádiófrekvenciák egyes sávjait a legmagasabb ajánlatot tevők kapnák meg és nem adminisztratív döntés útján osztanák ki” – írta Coase (1959) már klasszikussá vált tanulmányában. Az aukcióelmélet részletes és aktualizált összefoglalását magyar nyelven lásd Varian (2003: 325–332). 2020-ban Nobel-díjat kapott két amerikai közgazdász, Paul Milgrom és Robert Wilson az aukcióelmélethez való hozzájárulásáért, amiről a rádiófrekvenciák 1994-ben megszervezett értékesítésekor a gyakorlatban is kiderült, hogy működőképes. |
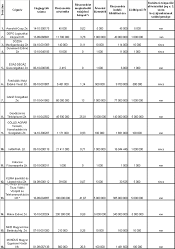
| 2 | Ezt a technikát 2000-től kezdve tömegesen alkalmazták Szerbiában a vállalatok értékesítése során. |
| 3 | Ezért az angol szakirodalomban a „second-price” megnevezés is használatos. |
| 4 | www.index.hu, 2005. okt. 18. |
| 5 | VG, 2008. nov. 6. |
Tartalomjegyzék
- PRIVATIZÁCIÓ ÉS ÁLLAMOSÍTÁS MAGYARORSZÁGON I.
- Impresszum
- Előszó
- BEVEZETÉS
- Privatizáció és rendszerváltás
- Nemzetközi kitekintés
- 1978–2008: A Friedman-korszak
- Globalizáció, liberalizáció, dereguláció
- Vállalatból társaság
- Egyedi értékesítés
- Kombinált értékesítési formák
- A Treuhand-modell
- Likvidáció
- Bennfentes privatizáció
- Tömeges privatizáció
- Privatizációs ígéretek a 21. század elején a költségvetési hiányok betömködésére
- A magyar modell
- 1978–2008: A Friedman-korszak
- Módszer és nézőpont
- A témakör hazai szakirodalma
- A nemzetközi szakirodalom
- A populista narratíva
- A könyv felépítése
- Szerkesztési elvek, források
- Kulcsfogalmak, intézmények, definíciók
- Köszönetnyilvánítások
- Privatizáció és rendszerváltás
- 1. rész. Fejezetek az állami és a magántulajdon konfliktusainak történetéből az Árpád-kortól 1989-ig
- 1. Az állami és a magántulajdon konfliktusainak történetéből az Árpád-kortól 1989-ig
- 1.1. Bevezetés
- 1.1.1. A királyok és a nagybirtokos elit rivalizálása
- 1.1.2. A tatárjárás következményei
- 1.1.3. A földbirtokok újraosztása a török hódoltság után
- 1.1.4. Hitbizományosok kasztja
- 1.1.5. A kunok és a jászok kiváltságai
- 1.1.6. A tanyavilág kialakulása
- 1.1.7. Mária Terézia és II. József állami kezelésbe veszi a szerzetesrendek vagyonát, 1771–1790
- 1.1.8. Az ősiség eltörlése és a jobbágyok földhöz juttatása 1848-ban
- 1.1.9. Betyárok kora
- 1.1.10. A modern infrastruktúra államosítása, 1722–1932
- 1.1.11. A temetők közhasználata
- 1.1.12. Az állami vasút állami vasgyártást, a vasgyártás szénbányát igényelt, 1870–1945
- 1.1.13. Az iskolák államosítása, 1868–1910
- 1.1.14. Kivándorlás és földvásárlások
- 1.1.15. A történeti Magyarország összeomlása, 1914–1922
- 1.1.15.1. Az arisztokraták három kasztja
- 1.1.15.2. Ideiglenesség és anarchia mindenben és mindenütt
- 1.1.15.3. A gazdaság militarizálása az I. világháború idején
- 1.1.15.4. Tizenhat kérészéletű bábállam a történelmi Magyarország területén, 1918–1922
- 1.1.15.5. A Károlyi-korszak intézkedései
- 1.1.15.6. Táncsics Mihály és a Tanácsköztársaság szelleme
- 1.1.15.7. A bukás után: mindent vissza
- 1.1.15.1. Az arisztokraták három kasztja
- 1.1.16. Reformok és vagyonelkobzások a Horthy-korszakban
- 1.1.16.1. A Habsburg-család vagyonának zár alá vétele
- 1.1.16.2. Lex Károlyi
- 1.1.16.3. A családi birtok jogi intézménye
- 1.1.16.4. Vagyonváltsági törvények
- 1.1.16.5. Népszövetségi kölcsönök és a külföldi tőke szerepe
- 1.1.16.6. Földjuttatás a Vitézi Rend tagjainak
- 1.1.16.7. Kárpótlás Trianonért: az optánsperek
- 1.1.16.8. Trianon és az állam benyomulása a sport területére
- 1.1.16.9. A Nagyatádi-féle földreform
- 1.1.16.10. Gömbös- és Teleki-földreform tervei
- 1.1.16.11. A gazdaság militarizálása a német háborús nagytérgazdaságban, 1938–1945
- 1.1.16.12. A média egy részének államosítása
- 1.1.16.13. A zsidóság jogfosztása és vagyonának elvétele, 1848–1956
- 1.1.16.14. Tervek a „hárommillió koldus” országának átalakítására
- 1.1.16.1. A Habsburg-család vagyonának zár alá vétele
- 1.1.17. A szocialista tulajdon fokozatos kiépülése 1945-től
- 1.1.17.1. Totális elitváltás
- 1.1.17.2. Az első pártprogramok
- 1.1.17.3. Az 1945. évi földosztás
- 1.1.17.4. A német ajkú kisebbség (svábok) jogfosztása, 1944–1950
- 1.1.17.5. A szlovákok kitelepítése, 1946-–1949
- 1.1.17.6 Politikai konszenzus a nagyvállalatok államosítása ügyében
- 1.1.17.7. Magyar–szovjet közös vállalatok alakítása
- 1.1.17.8. Elhagyott Javak Kormánybiztossága – az első állami vagyonkezelő
- 1.1.17.9. A pénzintézetek államosítása
- 1.1.17.10. A „fordulat évéhez” vezető út
- 1.1.17.11. Az ún. szabotázsperek
- 1.1.17.12. A szövetkezeti mozgalom felszámolása 1947-től
- 1.1.17.13. A kisipar és a kiskereskedelem államosítása 1949-től
- 1.1.17.14. Az államosított iparvállalatok átalakítása (ágazati példák 1948–1989)
- 1.1.17.15. A mezőgazdaság szocializálásnak első kísérlete, 1948–1953
- 1.1.17.16. A lakásvagyon részleges államosítása 1945 és 1953 között
- 1.1.17.17. A társadalombiztosítás, az oktatás, az egyházi intézmények, a kultúra és a tudomány államosítása
- 1.1.17.18. Akik túlélték, nem felejtettek
- 1.1.17.1. Totális elitváltás
- 1.1.18. Nagy Imre miniszterelnöksége és a kádári konszolidáció, 1953–1962
- 1.1.19. Magánvagyonok halmozódnak, 1953–1989
- 1.1.1. A királyok és a nagybirtokos elit rivalizálása
- 1.2. A posztszocialista privatizáció szellemi előkészítése, 1957–1989
- Bevezetés
- 1.2.1. Az állami vállalat – egy hamis önkép lebomlása
- 1.2.2. Reformok nagy és kis lépésekben
- 1.2.3. Ami megoldódott, és ami nem…
- 1.2.4. A gazdasági bajok közkézen forgó magyarázatai
- 1.2.5. Javaslatok a piaci szocializmus tulajdonmodelljének kialakítására
- 1.2.6. A versengő reformjavaslatok kioltották egymást
- 1.2.7. Szabad a vásár: 1987–1989
- 1.2.8. FÜGGELÉK: Nemzetközi kitekintés
- 1.2.9. A Lear király-effektus
- 1.2.10. Forrásjegyzetek
- Bevezetés
- 1.3. A magyar privatizáció alapmodellje, 1989–2010
- 1.3.1. A háromszereplős modell
- 1.3.1.1. A totalitárius vezető hatalma
- 1.3.1.2. Minden az arányokon múlik
- 1.3.1.3. Folyó kiadások és beruházási döntések
- 1.3.1.4. Jó és rossz vállalatok egymás mellett
- 1.3.1.5. Minden egy tömbből faragva
- 1.3.1.6. A három szereplő között nem volt kínai fal
- 1.3.1.7. A pártállam bizonyos értelemben jó tulajdonos volt
- 1.3.1.1. A totalitárius vezető hatalma
- 1.3.2. Az állami vállalat és a társasági modell összevetése
- 1.3.3. Mégsem kell mindent privatizálni?
- 1.3.4. Deindusztrializáció = munkahelyrombolás
- 1.3.5. Javultak a racionális gazdálkodás peremfeltételei
- 1.3.6. A „kemény mag” és ami azon kívül volt
- 1.3.7. Az állami irányítás eróziója
- 1.3.8. Nyitó leltár: A privatizálható vállalati vagyon értéke 1989/90-ben
- 1.3.9. A lakásvagyon privatizációja és a tőke mobilizálása
- 1.3.10. A dolgok a helyükre kerülnek
- 1.3.11. A könyv szerinti érték védelmében
- 1.3.12. A privatizációs bevételek előrejelzése
- 1.3.13. FÜGGELÉK: Sabaria Cipőgyár – egy tipikus történet
- 1.3.14. Forrásjegyzetek
- 1.3.1. A háromszereplős modell
- 1.1. Bevezetés
- 2. A kárpótlás
- 2.1. Bevezetés
- 2.2. Reprivatizáció, jóvátétel, kárpótlás a 90-es években
- 2.2.1. Definíciós bizonytalanságok
- 2.2.2. Kicselezett kisgazdák
- 2.2.3. Nemzetközi vonatkozások
- 2.2.4. A kárpótlási törvények születése
- 2.2.5. A holokauszt áldozatainak kárpótlása
- 2.2.6. … és mi lesz az arisztokratákkal?
- 2.2.7. Gerbeaud, Zwack és még néhány kivétel, melyek csak erősítették a szabályt
- 2.2.8. ... és mi lesz a műkincsekkel?
- 2.2.9. Mi legyen az Akadémia vagyonával?
- 2.2.1. Definíciós bizonytalanságok
- 2.3. Vita a várható következményekről 1990–91-ben
- 2.4. A települési önkormányzatok és az egyházak javára történő restitúció
- 2.5. A kárpótlási jegy pályája a kibocsátástól a megsemmisítésig
- 2.5.1. A kárpótlási jegy mint különleges értékpapír
- 2.5.2. A kárpótlási jegyet terhelő adókötelezettség
- 2.5.3. A kárpótlási jegy és a tőzsde
- 2.5.4. Falun nem lehetett visszafelé forgatni a történelem kerekét
- 2.5.5. A kárpótlási jegy felhasználása életjáradék szerzésére
- 2.5.6. A kárpótlási jegy felhasználása lakásingatlan szerzésére
- 2.5.7. A kárpótlási jegy–részvény csere intézménye
- 2.5.1. A kárpótlási jegy mint különleges értékpapír
- 2.6. A kárpótlási jegy felhasználása a „valódi” privatizációban
- 2.6.1. A kárpótlási jegy valódi értékének meghatározása
- 2.6.2. A Győrtej esete
- 2.6.3. A Matáv-sztori
- 2.6.4. A külföldi befektetők kezelése
- 2.6.5. Strómanok megjelenése
- 2.6.6. Kedvezmények halmozása
- 2.6.7. A kárpótlásijegy-hasznosító magántársaságok
- 2.6.8. Kísérletek a kárpótlási jegy tömeges felszívására
- 2.6.9. A Forrás Rt. botrányos tranzakciója, ami felett elsiklott a közvélemény
- 2.6.1. A kárpótlási jegy valódi értékének meghatározása
- 2.7. Történelmi lóvátétel?
- 2.8. FÜGGELÉK: A Központi Kárrendezési Iroda statisztikái (a 2007. október 29-i állapot szerint)
- 2.9. FÜGGELÉK: Nemzetközi kitekintés
- 2.9.1. A restitúció mint fő rendező elv
- 2.9.2. Akik jogosultak voltak vagy lettek volna személyi kárpótlásra
- 2.9.3. Csehszlovákia
- 2.9.4. Románia
- 2.9.5. Lengyelország
- 2.9.6. Szerbia
- 2.9.7. A Szovjetunió utódállamai
- 2.9.8. Föld, föld, föld…
- 2.9.9. „Mi” és „ők”
- 2.9.10. Államközi szerződések
- 2.9.11. Jegyek, vócserek
- 2.9.12. Mi lett az arisztokratákkal?
- 2.9.13. Az egyházak ügye
- 2.9.1. A restitúció mint fő rendező elv
- 3. A posztszocialista privatizáció joga és technikái
- 3.1. Amiben sosem volt konszenzus
- 3.2. 1988–1989: A Gt. és az átalakulási törvény
- 3.3. A második hullám (ÁVÜ- és ÁV Rt.-törvény)
- 3.4. 1995: A privatizációs törvény
- 3.5. A korai privatizációk alaptechnikái
- 3.6. Vállalatok eladása részvényértékesítés útján
- 3.7. Felszámolás, végelszámolás, banki kényszertulajdonlás
- 3.8. Az állampárt vagyonának széthordása
- 3.9. A mezőgazdasági termelőszövetkezetek átalakulása
- 3.10. FÜGGELÉK: A BÉT-re bevezetett és 2009 és 2022-ben is jegyzett, egykori állami tulajdonú cégek listája
- 3.1. Amiben sosem volt konszenzus
- BIBLIOGRÁFIA
- 1. Az állami és a magántulajdon konfliktusainak történetéből az Árpád-kortól 1989-ig
Kiadó: Akadémiai Kiadó
Online megjelenés éve: 2025
ISBN: 978 963 664 045 3
Hivatkozás: https://mersz.hu/mihalyi-privatizacio-es-allamositas-magyarorszagon-1//
BibTeXEndNoteMendeleyZotero